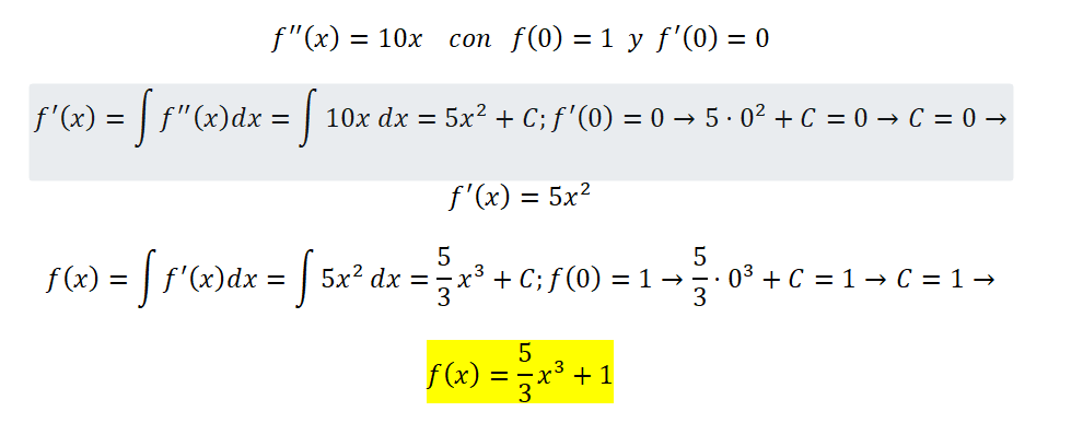
hola buenas, no se como resolver este ejercicio, se que para obtener f(x) hay que integrar 2 veces y'':10x pero no se lo demas...

La idea que tienes es prácticamente la única que se usa , sólo hay que ver como usar los datos .
Cuando integras la segunda derivada obtienes :
y ' = 5x^2 + C1
La recta tangente en ( 0 , 1) es horizontal , significa que la pendiente es 0 y sabes que esta se obtiene evaluando el punto en la primera derivada .Entonces :
m = 5(0^2) + C1 = 0 ==> C1 = 0
De donde :
y ' = 5x^2
Nuevamente integras y obtienes y
y = (5/3)x^3 + C2
El punto ( 0 , 1) pertenece a la curva , debe satisfacer su ecuación :
1 = (5/3)(0^3) + C2 ==> C2 = 1
Luego la función es :
f(x) = (5/3)x^3 + 1
Hola, buenas noches a todos, alguien me puede ayudar con este problema por favor? Explicar la parte de sacar las rectas a partir de que me digan "y las tangentes a esta con pendientes 4 y -4" por favor
a)Calcula el area delimitada por la curva y=6x-x^2 y las tangentes a esta con pendientes "4" y "-4".
b)Representa la región delimitada.

Cuestión de leer la teoría , la pendiente de la recta tangente en un punto P se calcula como la derivada de la función evaluado en dicho punto .
Sea el punto donde es tangente (x1 , y1) y (x2 , y2) ya que son 2 rectas , entonces :
y´(x1) = m1 = 4 .... en un caso
y´(x2) = m2= - 4 .... en otro caso
Ejemplo :
y´= 6 - 2x ==> 6 - 2(x1) = 4 ==> x1 = 1
Similar para el otro
Con ello encuentras x1 y x2 , si quieres obtener las ordenadas entonces sólo se evalúa en la función , dado que estos puntos pertenecen a la función.
y1 = y(x1)
y2 = y(x2)
Ejemplo :
y1 = y(x1) = y(1) = 6(1) - 1^2 = 5 , luego el punto es ( 1 , 5 ) y por allí pasa una recta de pendiente m = 4 tangente a la curva .
como se haria
(1/2)-3: ( 1/2 )-2
Si estoy en examen y tengo un sistema de ecuaciones de 3 incognitas con 3 ecuaciones o 4 incognitas con 4 ecuaciones (Ejemplo como quedan a veces las ecuaciones de kirchhoft), que metodo usarian rápido para resolver?