Buenas tardes, David Calle:
¿cuando un alumno le pide un video, cuanto tarda en grabarlo y subirlo?
Es que quiero que me suba un video de un ejercicio que no entiendo nada:
Selectividad 2017, Opción B, pregunta 2, apartado c

Vamos por pasos
1°)
Considera la región limitada por las curvas cuyas ecuaciones son: y = x2 e y = 4,
y observa que sus vértices son los puntos: A(-2,4) y B(2,4), cuya área queda expresada:
A1 = ∫ (4 -x2)*dx = [ 4x - x3/3 ] = evalúas entre -2 y 2 = (8 - 8/3) - (-8 + 8/3) = 16/3 - (-16/3) = 32/3.
2°)
Considera la región limitada por las curvas cuyas ecuaciones son: y = x2 e y = c,
y observa que sus vértices son los puntos: C(-√(c),c) y D(√(c),c), cuya área queda expresada:
A2 = ∫ (c -x2)*dx = [ cx - x3/3 ] = evalúas entre -√(c) y √(c) = (c√(c) - (-√(c))3/3) - (-c√(c) + (√(c))3/3) = 2c√(c) - 2(√(c))3/3 =
= 2c√(c) - 2c√(c)/3 = 4c√(c)/3.
3°)
Luego, tienes la relación entre las áreas de las dos regiones:
A2 = (1/2)*A1, sustituyes expresiones, y queda:
4c√(c)/3 = (1/2)*(32/3), resuelves el segundo miembro, y queda:
4c√(c)/3 = 16/3, multiplicas en ambos miembros por 3/4, y queda:
c√(c) = 4, elevas al cuadrado en ambos miembros, y queda:
c2*c = 16, resuelves el producto de potencias con bases iguales, y queda:
c3 = 16, haces pasaje de potencia como raíz, y queda:
c = ∛(16).
Espero haberte ayudado.
√x4 + x2 + 9 ⁄ √x2+x+1 me pide el estudio complerto pero no puedo obtener la derivabilidad para ver los ceros de esa derivable
me pueden ayudar por favor
Buenos días! Tengo algunas dificultades con dos problemas de álgebra, de 1r de carrera en ingeniería. Si alguien pudiera ayudarme lo agradecería mucho!
Gracias!!

¡Hola! Nos encantaría ayudarte, pero no solemos responder dudas universitarias que no tengan que ver específicamente con los vídeos que David Calle ha grabado como excepción. O de otras asignaturas que no sean Matemáticas, Física y Química. Lo sentimos de corazón… Esperamos que lo entiendas.
Ojalá algún unicoo universitario se anime a ayudarte (de hecho, lo ideal es que todos los universitarios intentarais ayudaros los unos a los otros).

1)
Tienes la integral:
I = 106*∫∫R x*dx*dy = pasas a coordenadas polares = 106*∫∫R r*cosθ*r*dr*dθ = 106*∫∫R r2*cosθ*dr*dθ, con los intervalos de integración:
0 ≤ r ≤ θ/(2π), 0 ≤ θ ≤ π/2.
Resuelves la integral para la variable r, y queda:
I = ( 106/(6π) ) * ∫ θ3*cosθ*dθ,
luego, planteas el Método de Integración por Partes:
u = θ3, de donde tienes: du = 3θ2*dθ,
dv = cosθ*dθ, de donde tienes v = senθ,
luego, aplicas el método y la integral queda:
I = ( 106/(6π) ) * ( θ3*senθ - 3*∫ θ2*senθ*dθ,
luego, debes aplicar el método nuevamente para resolver la integral secundaria (y si lo haces, observarás que deberás hacerlo dos veces más), hasta llegar a la expresión que debe evaluar entre 0 y π/2 (te dejo la tarea).
Espero haberte ayudado.

2)
Plantea el cambio a coordenada esféricas con eje OZ:
x = ρ*senφ*cosθ,
y = ρ*senφ*senθ,
z = ρ*cosφ,
cuyo factor de compensación (Jacobiano) es: |J| = ρ2*senφ;
con los intervalos de integración:
0,9 ≤ ρ ≤ 1,
0 ≤ φ ≤ π,
0 ≤ θ ≤ π,
luego, tienes la integral:
I = ∫∫∫B ( y/(x2+y2+z2) )*dx*dy*dz, haces el cambio de coordenadas, y queda:
I = ∫∫∫B (ρ*senφ*senθ/ρ2)*ρ2*senφ*dρ*dφ*dθ = simplificas = ∫∫∫B (ρ*sen2φ*senθ)*dρ*dφ*dθ,
luego, debes aplicar la identidad trigonométrica: sen2φ = (1/2)*( 1 - cos(2φ) ), para integrar con respecto a la variable φ,
y tienes que las integrales con respecto a la variable ρ y a la variable θ son directas (te dejo la tarea de hacer los cálculos).
Espero haberte ayudado.
Hola de nuevo, le agradecería ayuda con este límite, no sé qué hacer a partir de la segunda indeterminación (no puedo utilizar L'Hôpital)
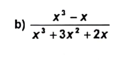
¡Buenos días! quizas usted me puedan ayudar con la fraccion de polinomios que le adjunto, me piden que simplifique, tengo el resultado pero no se que pasos seguir y como, gracias