Foro de preguntas y respuestas de Matemáticas

logo beUnicoos
Los foros de unicoos se han unificado en nuestra nueva plataforma beUnicoos. Para dejar nuevas preguntas deberás hacerlo allí, donde además podrás encontrar nuevas asignaturas y herramientas para ayudarte más con tus estudios.

  • icon

    Fernando
    el 8/12/17

    Buenas noches, me gustaría que me aconsejarán como estudiar matemáticas y física para poder lograr un nivel de bachillerato. Esto es para una oposición. Gracias!

    replythumb_up0 voto/sflag
    icon

    javier montero
    el 8/12/17

    Estaría bien que te apuntases a una academia para prepararte debidamente la oposición :)

    thumb_up0 voto/sflag
    icon

    Ángel
    el 8/12/17

    Lo recomendable es coger los libros o pdf´s de 1º y 2º de física/matemáticas (los de SM o Anaya por decir alguno) e ir siguiendo los ejercicios resueltos y teoría de los libros.

    Al terminar el tema vas poniéndote los vídeos de David y vas intentando predecir sus próximos pasos; si aciertas felicidades y si no, presta atención y no avances en el vídeo hasta que no lo comprendas. Avances media página o 100 páginas y te veas 2 o 20 videos en el día, si no comprendes un paso lo repites las veces que sea necesario y si no "te entra", tomas un descanso el tiempo que haga falta.

    De páginas para completar más teoría/ejercicios sobre bachiller las imprescindibles son vitutor.com , vadenumeros.com , proyecto Descartes,  y de pdf´s creo que es la del ies Sant Vicent Ferrer.

    Para autocorregirte procesos analíticos como resolución de ecuaciones, funciones, derivadas, integrales (gran parte de bachillerato) es interesante que utilices Symbolab y Geogebra para Álgebra Lineal (parte importante)

    Y esto es todo lo que necesitas, ya no hay excusas :D

    Mucha suerte.


    P.D: En el foro hay gran variedad de preguntas, y a la vez que ayudas a otros respondiendo, creo que para una oposición te puede venir muy bien intentarlo de vez en cuando con nosotros (y sobra decir que puedes consultar aquí las dudas que vayan surgiendo)

    **Si no tuvieras muy afianzada la ESO, le das un repaso a los vídeos de los temas que no controles.

    thumb_up1 voto/sflag
  • icon

    Arturo
    el 8/12/17

    Ayuda en este problema de optimizacion?No sé plantearlo.

    replythumb_up0 voto/sflag
    icon

    Antonius Benedictus
    el 8/12/17


    thumb_up2 voto/sflag
  • icon

    Adnan
    el 8/12/17

    Me salen todos los apartados menos el apartado c) 

    replythumb_up0 voto/sflag
    icon

    Antonius Benedictus
    el 8/12/17


    thumb_up1 voto/sflag
  • icon

    sandra rubio
    el 8/12/17

    Me pueden ayudar con esta integral. ¿ Sería por cambio de variable? Gracias.

    replythumb_up0 voto/sflag
    icon

    Neofito 007
    el 8/12/17


    thumb_up1 voto/sflag
  • icon

    Sergio Rodríguez Moreno
    el 8/12/17

    ¿Cómo se halla el apartado a) del ejercicio 5? Muchísimas gracias de antemano.


    replythumb_up0 voto/sflag
    icon

    Antonius Benedictus
    el 8/12/17


    thumb_up1 voto/sflag
  • icon

    Héctor
    el 8/12/17

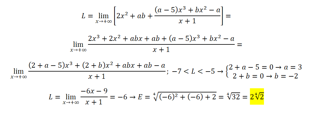
    Como se resuelve este limite por favor


    replythumb_up0 voto/sflag
    icon

    Ángel
    el 8/12/17

    L= lim(x->inf) (2x^3+2x^2+abx+ab+ (a-5)*x^3+ b*x^2 - a) / (x+1)=

    lim(x->inf) (-3+a)*x^3 + (2+b)*x^2 + abx + (a*b -a)=

    lim(x->inf) (-3+a)*x^2 + (2+b)*x + ab

    como -7 < L < -5 , entonces no puede ser infinito y se tienen que anular tanto (-3+a) como (2+b), por lo que a=3 y b= -2  ----> L=-6


    Sustituyendo L= -6 en E obtienes la opción C)

    thumb_up1 voto/sflag
    icon

    Antonius Benedictus
    el 8/12/17


    thumb_up1 voto/sflag
  • icon

    javier montero
    el 8/12/17
    flag

    Alguien podría resolver esta igualdad trigonométrica porfavor?        2senx/tg2x = COS2X-SEN2X/COSX             G    RACIAS

    replythumb_up0 voto/sflag
    icon

    Ángel
    el 8/12/17

    ¿ Te refieres a una identidad o una ecuación?       

    ¿Cuál es tu enunciado

    a) 2senx/tg2x = (COS2X-SEN2X)/COSX

    b) 2senx/tg2x = (COS2X) -SEN2X/COSX

    ?


    Si no es ninguno de los dos, manda foto del enunciado original.

    thumb_up1 voto/sflag
    icon

    javier montero
    el 8/12/17

    Una identidad, B

    thumb_up0 voto/sflag
  • icon

    Erick Zambrana
    el 8/12/17


    replythumb_up0 voto/sflag
    icon

    Ángel
    el 8/12/17


    thumb_up3 voto/sflag
  • icon

    alberto herrezuelo
    el 8/12/17
    flag

    Alguien sabe como se resuelve este problema? Dadas las funciones de coste C(x )=4000 +10x+  0. 02x 2 y demanda p(x)= 100 − x/100, halla el precio p por unidad que produce el máximo beneficio. 

    replythumb_up0 voto/sflag
    icon

    Ángel
    el 9/12/17

    Envía una foto del enunciado original para que podamos ayudarte.

    thumb_up0 voto/sflag
  • icon

    Sr.M
    el 8/12/17

    Hola buenas, por favor necesito ayuda con el ejercicio 8 porque no se por donde empezar. Gracias de antemano.

    replythumb_up0 voto/sflag
    icon

    Antonius Benedictus
    el 8/12/17


    thumb_up2 voto/sflag
    icon

    Sr.M
    el 8/12/17

    Muchas gracias Antonio. Claro y preciso. De nuevo mil gracias. Un cordial saludo !!!

    thumb_up1 voto/sflag