Foro de preguntas y respuestas de Matemáticas

logo beUnicoos
Los foros de unicoos se han unificado en nuestra nueva plataforma beUnicoos. Para dejar nuevas preguntas deberás hacerlo allí, donde además podrás encontrar nuevas asignaturas y herramientas para ayudarte más con tus estudios.

  • Usuario eliminado
    el 9/12/17

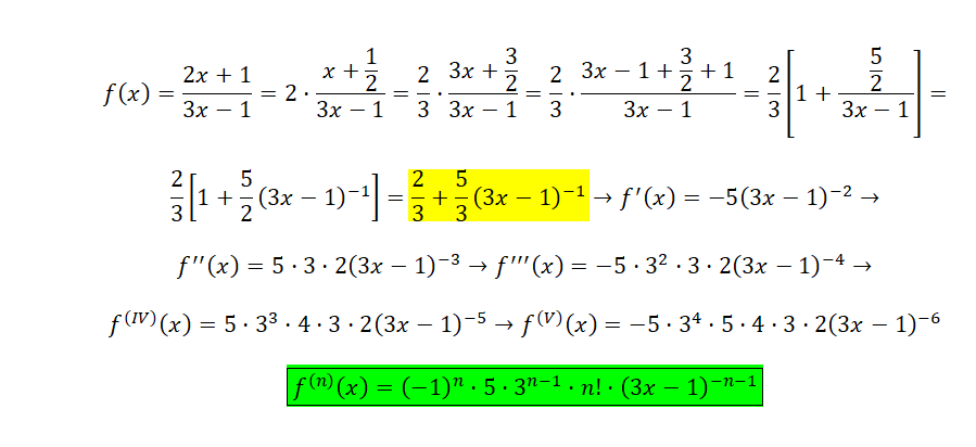
    Hola Unicoos, por favor me podrian ayudar con esta derivada de orden superior, he llegado hasta la tercera derivada pero no logro identificar el patron :(

    la funcion es f(x)=2x+1/3x-1

    la primera me dio -5/(3X-1)²

    la segunda me dio 90x-30/(3x-1)²*²

    la tercera (7290x²*²-9720x³+1620x²+1080x-270)/(3x-1)²*²*²

    y ya me dio miedito hacer la cuarta... cada vez se hace mas grande esta cosa... ;(


    replythumb_up0 voto/sflag
    icon

    Antonius Benedictus
    el 9/12/17

    Pon foto de la función original, Ericka.

    thumb_up1 voto/sflag

    Usuario eliminado
    el 9/12/17


    thumb_up0 voto/sflag
    icon

    Antonius Benedictus
    el 9/12/17


    thumb_up2 voto/sflag
  • icon

    Diego
    el 9/12/17

    Buenas, tengo dudas con la resolución de una integral. He adjuntado las imágenes de un Word hecho por mi donde resuelvo parte del problema y planteo mis dudas. Espero no causar muchas molestias con ello. Si se prefiere, añado un enlace al Word para poder leerlo todo completo de seguido:

    https://drive.google.com/open?id=1zGqloBkYuA64zrg1PzD2np6eZPHkjLnkiXuczybroBg

    Gracias de adelantado.

    replythumb_up0 voto/sflag
    icon

    Antonius Benedictus
    el 9/12/17

    Diego, esto se sale bastante del currículo de bachillerato.

    thumb_up0 voto/sflag
    icon

    Diego
    el 9/12/17

    Ya, ya se que se escapa un poco... Pero no podria indicarme minimamente? 

    thumb_up0 voto/sflag
  • Usuario eliminado
    el 9/12/17

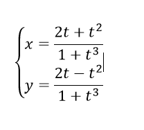
    Hola Unicoos, tengo este ejercicio donde me piden hallar la ecuacion de la recta normal a la curva dada en forma parametrica donde t=1

    x=(2t+t²)/(1+t³)

    y=(2t-t²)/(1+t³)

    mi respuesta es y=-1/3x+1 esta bien?

    replythumb_up0 voto/sflag
    icon

    Ángel
    el 10/12/17

    Envía foto del enunciado original.

    thumb_up1 voto/sflag

    Usuario eliminado
    el 10/12/17


    thumb_up0 voto/sflag
  • Usuario eliminado
    el 9/12/17

    Hola Unicoos por favor me podrian ayudar con este ejercicio:

    determine si la ecuacion 3x²+ln(x)-2=0 tiene al menos una solucion en el intervalo cerrado (1/2, 3/2)

    me ha dado que si, porque evaluando la funcion en los extremos del intervalo los valores son -1.94 y 5.15 respectivamente

    es valida mi respuesta?

    replythumb_up0 voto/sflag
  • icon

    Manuela Ramos
    el 9/12/17


    replythumb_up0 voto/sflag
    icon

    Antonius Benedictus
    el 9/12/17


    thumb_up1 voto/sflag
  • icon

    Manuela Ramos
    el 9/12/17


    replythumb_up0 voto/sflag
    icon

    Manuela Ramos
    el 9/12/17

    Si en total hay 1200 alumnos

    thumb_up0 voto/sflag
    icon

    Antonius Benedictus
    el 9/12/17


    thumb_up0 voto/sflag
  • Usuario eliminado
    el 9/12/17
    flagflag

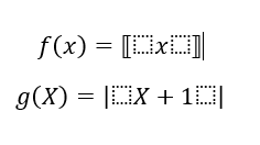
    Hola Unicoos por favor me podrian ayudar con esta suma de funciones para el intervalo  2≤ x <1

    f(x)= entero mayor(x) 

    g(x)= valor absoluto(x+1) 

    como quedaria su regla de correspondencia?


    replythumb_up0 voto/sflag
    icon

    Antonius Benedictus
    el 10/12/17

    Pon foto del enunciado original.

    thumb_up1 voto/sflag

    Usuario eliminado
    el 10/12/17


    thumb_up0 voto/sflag
  • icon

    RUTH CHINCHILLA SALVADOR
    el 9/12/17

    Alguien se atreve con este? A mi me dio e^4

    Gracias! 


    replythumb_up0 voto/sflag
    icon

    Antonius Benedictus
    el 9/12/17

    No se ve el límite completo.

    thumb_up1 voto/sflag
    icon

    Ángel
    el 9/12/17

    Lo tienes bien.

    lim(x→0) ( (e+3x)1/x ) = e4

    thumb_up2 voto/sflag
  • icon

    javier montero
    el 9/12/17
    flag

    Alguien podría resolver esta identidad trigonométrica por favor? :)  2senx/tg2x = (COS2X) -SEN2X/COSX

    replythumb_up0 voto/sflag
    icon

    Antonius Benedictus
    el 9/12/17

    Pon foto de la identidad original.

    thumb_up0 voto/sflag
  • icon

    RUTH CHINCHILLA SALVADOR
    el 9/12/17

    Hola! Quería saber que os da el siguiente límite, he aplicado lhopital pero no estoy segura de haber llegado a un resultado correcto...


    replythumb_up0 voto/sflag
    icon

    Antonius Benedictus
    el 9/12/17


    thumb_up1 voto/sflag
    icon

    RUTH CHINCHILLA SALVADOR
    el 9/12/17

    Si! Me dio lo mismo! Muchas gracias!!!

    thumb_up0 voto/sflag