![]()
![]()
Unicoos, necesito de vuestra ayuda, tengo que terminar un deber de fisica y solo me faltan 7 ejercicios y ya no me alcanza el tiempo, les pediría de por favor me ayudaran a terminar

Así no funciona la ayuda , primero que esto debe ir al foro de física y en segundo lugar 7 ejercicios significa que no está poniendo de su parte , recuerde que la tarea es suya así debe mostrar su avance o explicar de manera clara cual es la duda en un ejercicio en particular . Para terminar use una publicación por problema de preferencia .
Si se quedó sin tiempo , para la próxima planifique mejor su horario . Saludos.
Hallar el area comprendida entre las graficas de
f(x) = 1+3x/2
g(x)= x/x-1
Y la Asintota vertical de h(x)= x.ln(x-2)
Bueno, lo que empece haciendo fue encontrar la asintota vertical que es X=2
y graficar f(x) y g(x) , luego encontrar su punto de interseccion que fue x= (3+√33)/6
Entonces el area comprendida entre las 3 funciones me da que f(x) esta por encima de g(x).
Por lo tanto: Hice la integral definida de a=(3+√33)/6 a b=2 de f(x) - g(x) y me dio como resultado 2,189067403
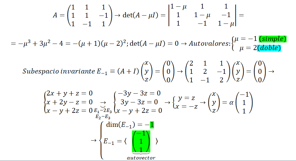
Intento calcular los autovalores de C:
(1 1 1 Primero me fijo que es simétrica y procedo a hacer el determinante | C - λ I3| = 0
1 1 -1 Resuelvo el determinante y me da( no sé si estará bien) -λ3- λ2 -4 que factorizando por ruffini me dió (λ-2)(λ2+λ+2)
1 -1 1) Ahora sería lo de: λ2=2 Ker(C - 2I3) y con el otro no sé como se hace.
Luego con la base ,que podría haber obtenido si lo hubiera sabido hacer, podría dar el caso que no fuera ortogonal y tendría que hallar una base ortonormal con el método de Gram–Schmidt.
Supuestamente, el resultado es PDP-1 = C P-1= Pt
D= (2 0 0 P= (raizde2/2 raizde6/2 -raizde3/3
0 2 0 raizde2/2 -raizde6/6 raizde3/3
0 0 -1) 0 raizde6/3 raizde3/3)
si he copiado bien, gracias
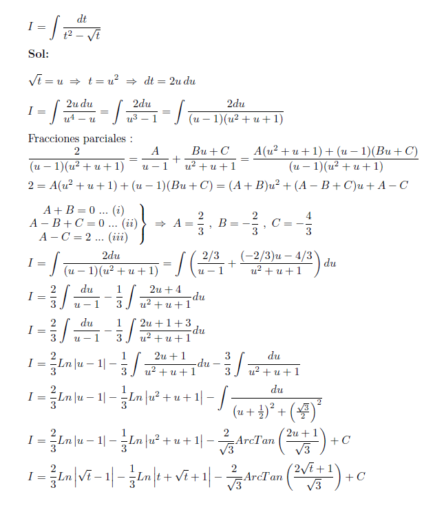
Una pregunta...
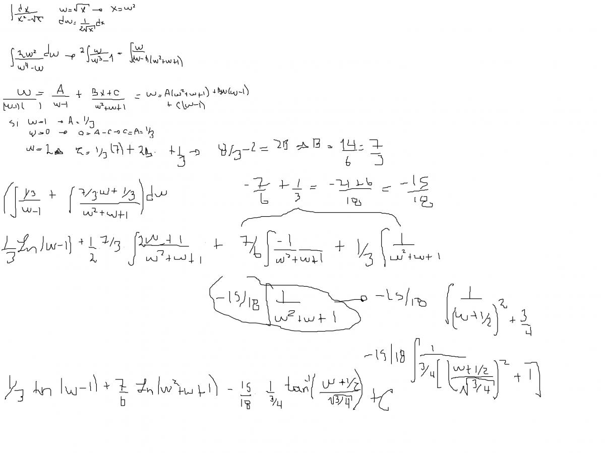
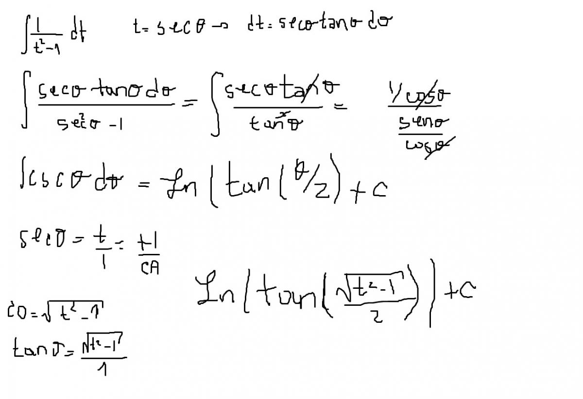
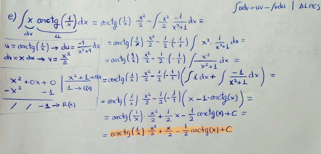
Dentro de poco tengo un examen de cálculo donde entran integrales, y me gustaría saber cómo puedo deducir como hacer esta integral ya sea immediatamente, por partes, de manera racional, por cambio de variable u ptra forma.

La respuesta es obvia : La experiencia , esto es consecuencia directa de la práctica .
Lo que debes tener dominio sí o sí son las derivadas de las funciones elementales , trigonométricas , hiperbólicas , etc ; conocimiento y dominio de la matemática elemental ( preuniversitaria ) factorizaciones , identidades trigonométricas , identidades hiperbólicas, fracciones parciales , etc