Foro de preguntas y respuestas de Matemáticas

logo beUnicoos
Los foros de unicoos se han unificado en nuestra nueva plataforma beUnicoos. Para dejar nuevas preguntas deberás hacerlo allí, donde además podrás encontrar nuevas asignaturas y herramientas para ayudarte más con tus estudios.

  • icon

    andrea
    el 28/11/17

    Que alguien me ayude a resolver la actividad 37, gracias

    replythumb_up0 voto/sflag
    icon

    Javier Marquez
    el 28/11/17

    Date cuenta que el diametro de la base del cono (circunferencia) vale lo mismo que la arista del cubo, entonces el radio de la base del cono sera 5, y la altura vale exactamente la arista del cubo, 10.

    Aplicando la formula del volumen de un cono queda: V=(1/3)*pi*5^2*10

    thumb_up0 voto/sflag
  • icon

    andrea
    el 28/11/17

    Me pueden ayudar en el ejercicio 46 porfavor

    replythumb_up0 voto/sflag
    icon

    Javier Marquez
    el 28/11/17


    thumb_up0 voto/sflag
  • icon

    Jose
    el 28/11/17


    replythumb_up0 voto/sflag
    icon

    Antonius Benedictus
    el 29/11/17


    thumb_up0 voto/sflag
  • icon

    Pilar Arias
    el 28/11/17

    Buenas tardes! Agradeceria si alguien me ayudase con este ej:traducción:  (a) En el triángulo ABC, encuentra D, si D es el punto medio de [AB].                      (b) El centroide G de ABC es un punto que divide la mediana  en un radio 2:1. Demuestra que el centroide es (última parte del ejercicio) (G (...))

    replythumb_up0 voto/sflag
    icon

    Antonius Benedictus
    el 29/11/17



    thumb_up0 voto/sflag
  • icon

    Raisa
    el 28/11/17

    Podeis ayudarme?

    Actividad 6

    Resolver

    sen2x.cosx=6sen elevado a  la 3x


    replythumb_up0 voto/sflag
    icon

    Ángel
    el 28/11/17

    Pon el enunciado original.

    thumb_up0 voto/sflag
  • icon

    Raisa
    el 28/11/17

    Podeis ayudarme?

    Actividad 5

    Demostrar la siguiente identidad:

    cot g elevado a la 2 a= cos elevado a la 2 a+(cot ga por cosa) elevado a la 2


    replythumb_up0 voto/sflag
    icon

    Antonius Benedictus
    el 28/11/17

  • icon

    David
    el 28/11/17

    Hola, no consigo resolver este ejercicio.



    Se deben construir envases cilíndricos con capacidad de 300 m3. Si el coste del envase depende de su superficie, calcular las dimensiones que deben tener para que su coste sea mínimo.

    replythumb_up0 voto/sflag
    icon

    Ángel
    el 28/11/17

    Cambia el dato 125m3 por 300m2   en el ejercicio 6 de este enlace http://vanesalazarbedoya1.blogspot.com.es/2012/08/problemas-de-aplicacion-de-la-derivada-1.html

    thumb_up0 voto/sflag
  • icon

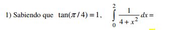
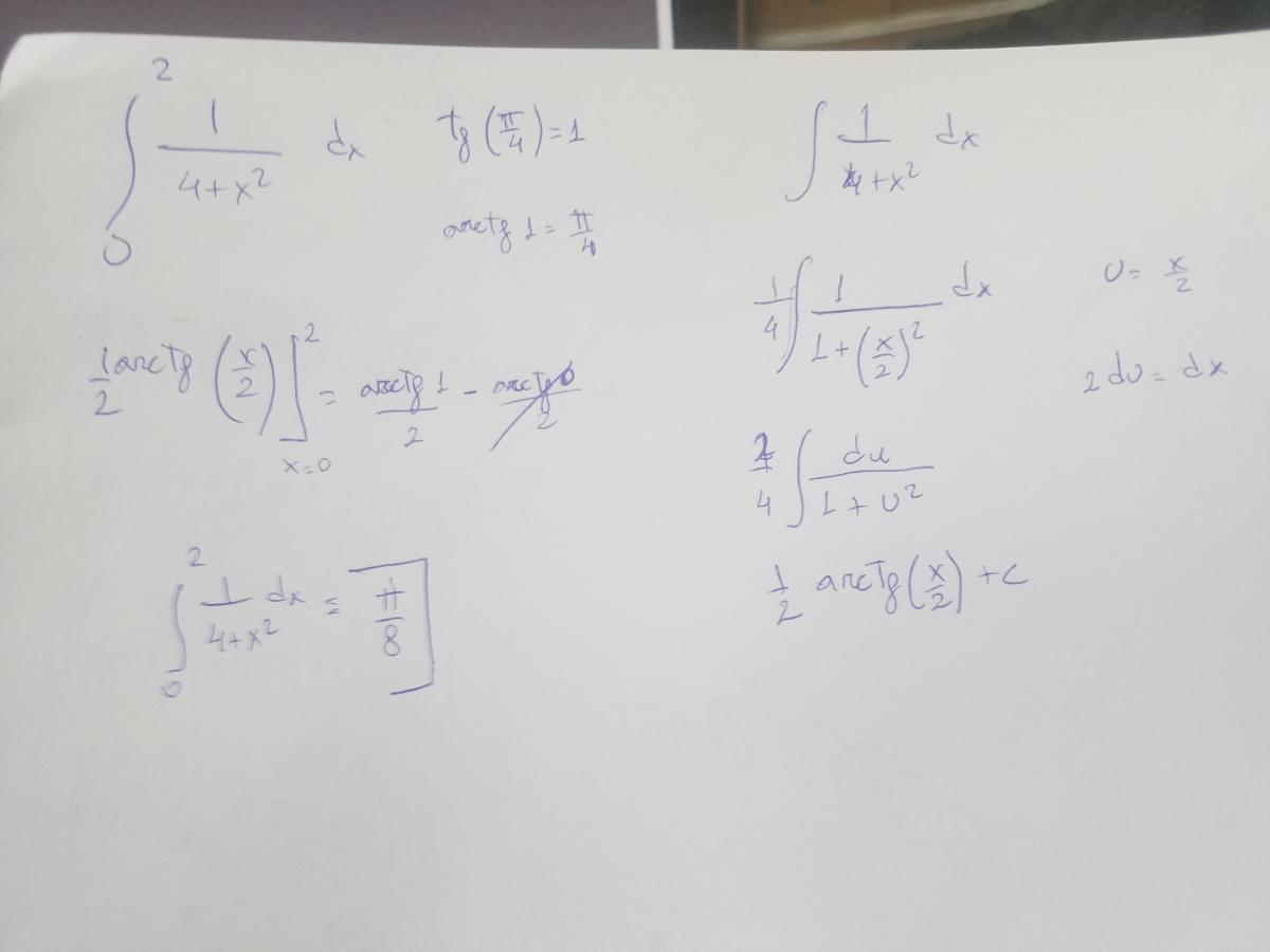
    Adnan
    el 28/11/17

    no consigo sacar esta integral

    replythumb_up0 voto/sflag
    icon

    Javier Marquez
    el 28/11/17


    thumb_up0 voto/sflag
    icon

    chado
    el 28/11/17


    thumb_up0 voto/sflag
  • icon

    Francisco
    el 28/11/17

    Alguien que me diga como puedo hacer este? Es demasiado largo y me lío bastante. 


    replythumb_up1 voto/sflag
    icon

    Ángel
    el 28/11/17


    thumb_up1 voto/sflag
  • icon

    Pedro
    el 28/11/17

    Hola, buenas noches, me podríais ayudar con este ejercicio, gracias.


    replythumb_up0 voto/sflag
    icon

    Leonardo David Puca
    el 28/11/17

    Hola! Debes primero debes realizar la recta como te lo expresa la funcion por partes. Luego verificar si existe la funcion en esos puntos (En -1/2π y en 1/2π ). 

    Segundo, aplicas limite lateral en esos puntos. Cuando tengas los resultados de los limites laterales de un punto (por ejemplo -1/2π), los igualas, ya que aunque el enunciado no te lo diga, la funcion es continua, es decir que los limites laterales son iguales. Debe serlo por que sino no tendrias ninguna posibilidad de encontrar m y n.

    Tercero, hacer lo mismo con el otro punto (1/2π ); No importa si no tienes los valores de m y n. Te quedarian 2 ecuaciones por los dos puntos. 

    Cuarto, aplicas sistema de ecuaciones a las dos ecuaciones. 

    Finalmente, quinto, mientras no te hayas equivocado, sistema de ecuaciones te va a permitir despejar m o n. El valor de m te quedaria m=1/2 y n=-1/2. Lo verificas y te daran el mismo resultado tanto por izquierda como por derecha de cada punto. 

    Te dejo las funciones de senx y cosx. Sen(1/2π )=1 , Sen(-1/2π)=-1. Cos(1/2π)=0, Cos(-1/2π )=0. 

    Ojala te sirva. Saludos.


    thumb_up1 voto/sflag
    icon

    Pedro
    el 28/11/17

    Muchas gracias, lo hice y  me salió correcto.

    thumb_up0 voto/sflag