como puedo darme cuenta del modo que debo resolver una integral??
hay unas reglas generales:
La descomposicion se usa para funciones racionales, donde el polinomio del denominador es mayor que el del numerador
La integracion por partes se utiliza cuando hay un producto de funciones, en donde una es facil de integral, y otra es facil de derivar.
La sustitucion se usa cuando aparece la derivada de cierta "funcion", y esta "funcion" forma parte de la funcion a integrar.
La sustitucion trignometrica es cuando hay expresiones del tipo √ (a^2 . x^2) o similares
Tambien esta la sustitucion z=tan(x/2) que tengo entendido se usa cuando en la funcion hay solo senos y cosenos
obviamente hay muchos metodos mas, pero estos son los esenciales
Pero al final lo que determinara cual usar sera la practica
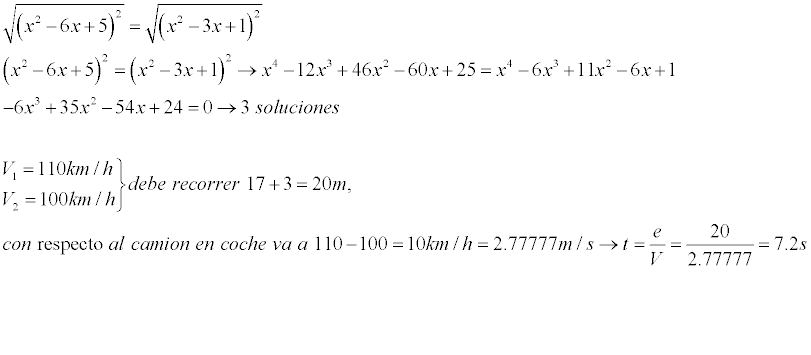
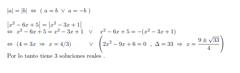
Alguna ayuda con estos ejercicios? El primero no tengo ni idea. Y en el segundo he planteado el siguiente sistema con e (espacio) y t (tiempo):
e + 3 = 30,5556 m/s * t
e + 17 = 27,7778 m/s * t
Y me sale que t es igual a 5, y ninguna se aproxima lo suficiente a ninguna solució, alguna ayuda?
10)
(110-100) = 10 km/h
Puedes tomar el ejercicio como:
que la velocidad del coche es 10km/h y el camión no se mueve
Para adelantar, el coche tiene que recorrer 17+3= 20 metros
Entonces tienes que calcular cuánto tarda en recorrer 20 metros yendo a 10km/h
10km/h= 10000 m/h = 2.777 m/seg = 20 m/(7.2seg) ---------> OPCIÓN E

Como las velocidades son constantes e uniformes puedes suponer que el camion esta parado y el coche va a 25/9 metros por segundo.
Para que el coche adelante totalmente el camión, tiene que recorrer los 17 metros del camión mas los 3 del coche, lo cual quedaria asi:
t = 20m / (25/9) m/s = 7,2s

Buenas, corregidme si me equivoco, pero al ser "adelantar" no bastaría con que fuese 0.00000000000001 mm más adelante que el otro para haberlo adelantado, y por tanto el tiempo sería a partir de la distancia de 17 m no? Me doy cuenta que todos hemos puesto 20, pero la lógica de una carrera de F1 me tira hacia atrás con el 20
si va hacia adelante 17 metros e intenta adelantar, chocará el coche a lo largo de todo su lateral en el camión
si va hacia adelante 18.5 metros e intenta adelantar, chocará el coche su parte media-trasera
si va hacia adelante 20 metros e intenta adelantar, ADELANTARÁ "por los pelos"
Hazte un dibujillo en un papel si no lo imaginas con claridad.
necesito ayuda con este ejercicio, segun yo c tiene que ser igual a -1, pero me piden que C sea mayor que cero,
entonces no se si lo estoy haciendo mal, o esta mal el ejercicio, el punto es ver que tiene que vale C para que se de la igualdad
el resultado de la integral es este:
http://www.wolframalpha.com/input/?i=integrate+ce%5Ex%2F(1-e%5Ex)%5E2+between+-inf+and+inf
probablemente el programa no te tome los limites laterales como tal, y los tome como limites cualquiera y los cancele, en ese caso te daria -c
Por eso a veces es mejor hacer el ejercicio sin depender de programas: Es cosa de ver la grafica de f(x) = c/(1-e^x):
http://www.wolframalpha.com/input/?i=1%2F(1-e%5Ex)
cuando x->0 puedes ver que al tomar limites laterales los limites son distintos, por lo tanto el "limite usual no existe":
http://www.wolframalpha.com/input/?i=lim(x-%3E0)+1%2F(1-e%5Ex)
pero podemos decir que el limite por la derecha de cero es -∞, y por la izquierda es ∞
Podria haberte quedado ∞ - ∞, y luego tendriamos que hacer algunos arreglos para sacar el limite y podria haber dado alguna constante finita, pero ese no es el caso
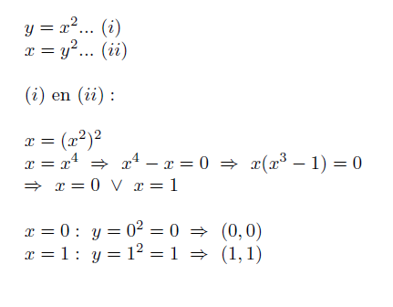
Hola, necesito ayuda por favor
Como hago el metodo de sustitucion o igualacion de
y= x2
x= y2
y no se hacer los puntos de corte de ambas parabolas.
Muchas gracias
Buenas tarde he estado mirando los vídeos y los he entendido mejor y más fácil que mi profesora pero quería saber como hacen ustedes estos dos radicales.
SOLO HAY QUE SIMPLIFICAR LAS QUE SE PUEDAN:
√6 × 3√ 7 ____ pone raíz cuadrada de 6 por raíz cúbica de 7
Y el último:
3√5 - 6√5
______ pone raíz cubica de 5 menos raíz 6 de 5
GRACIAS DE ANTEMANO