buenas tardes, me pueden ayudar?
resuelve el siguiente ejercicio:
((3/5)2 • (3/5)-3 )-2 / (5/3)-1
Gracias

Recuerda las propiedades del producto y de la división de potencias con bases iguales.
Luego, vamos por pasos:
a) (3/5)2 * (3/5)-3 = (3/5)2+(-3) = (3/5)-1 = (5/3)1 = 5/3.
b) [ (3/5)2 * (3/5)-3 ]-2 = reemplazas el resultado anterior = [ 5/3 ]-2 = [ 3/5 ]2.
c) [ (3/5)2 * (3/5)-3 ]-2 / (5/3)-1 = reemplazas el resultado anterior = [ 3/5 ]2 / (5/3)-1 = [ 3/5 ]2 / (3/5)1 = (3/5)2-1 = (3/5)1= 3/5.
Espero haberte ayudado.

Puedes plantear los vectores (observa que consideramos que la figura corresponde a un paralelogramo):
u = BC = < 4-(-1) , 2-1 > = < 5 , 1 >.
Luego, puedes llamar al cuarto vértice: D(x,y), y planteas el vector equivalente:
u = AD = < x-(-2) , y-(-1) > = < x+2 , y+1 >.
Luego, igualas componente a componente, y queda el sistema:
x + 2 = 5, aquí haces pasaje de término, y queda: x = 3,
y + 1 = 1, aquí haces pasaje de término, y queda: y = 0;
luego, tienes que el cuarto vértice queda expresado: D(3,0).
Espero haberte ayudado.
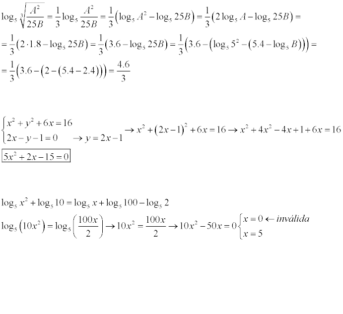
Hola, me podrían ayudar con el ejercicio (adjunto), de este ejercicio el apartado a) lo tengo resuelto, me faltaría confirmar la ecuación de segundo grado del b) y resolverlo, y el cálculo del d) pero si pueden resolverlos todos lo agradecería para confirmar que el resultado lo tengo correcto. Gracias.
Podriais ayudarme?es de segundo y bf es super complicado
Actividad 2
(k – 2)x + y + (2k + 1)z = 1
2x + (k – 1)y – z = 0
Cómo se hallan dos vectores linealmente independientes que sean ortogonales al vector e de coordenadas (1,1,3)?
con el metodo de ortogonalizacion de gram-schmidt, en wikipedia hay ejemplos:
https://es.wikipedia.org/wiki/Proceso_de_ortogonalizaci%C3%B3n_de_Gram-Schmidt
peero primero tendras que encontrar 2 vectores que junto con (1,1,3) formen una base en R3