Hola, me podrían ayudar a resolver estos ejercicios….
Indicar Verdadero o Falso, y justificar en ambas
a) si las curvas de nivel son círculos concéntricos, implica que la superficie es una esfera
b) si las curvas de nivel son rectas paralelas implica que la superficie es un plano
lo que pensé yo:
A) para mi es falsa, porque también podría ser un paraboloide
B) noce como pensarla
Muchas Gracias

Me encantaría ayudarte, pero no respondo dudas universitarias que no tengan que ver específicamente con los videos que ya he grabado como excepcion. O de otras asignaturas que no sean matemáticas, física y química. Lo siento de corazón… Espero lo entiendas
Ojalá algun unicoo universitario se anime a ayudarte (de hecho lo ideal es que todos los universitarios intentarais ayudaros los unos a los otros)
Hola, buenas tardes. Necesito que me corriga alguien el siguiente problema, me lo han puesto en el examen que he tenido hoy. Es nada más para asegurarme de que lo tengo bien. Un saludo y muchas gracias.
Un plan de jubilación al 3% anual implica aportaciones de 960 euros al año. Si tengo 48 años, ¿que capital obtendre a las siguientes edades de jubilacion?
a) A los 60 años. b)A los 65 años.
Hola, Buenas tardes!
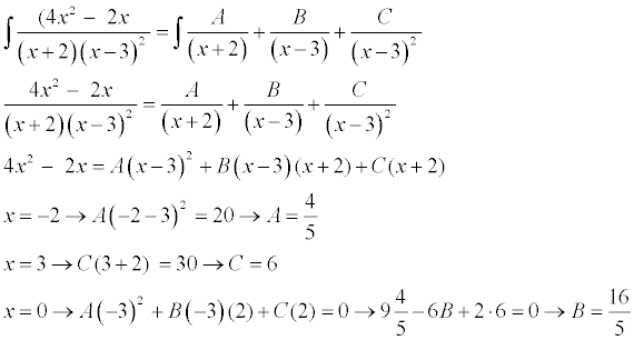
No consigo resolver esta integral, ∫(4x2 - 2x)/(x+2)(x-3)2 dx
Mi problema se produce cuando tengo que calcular las constantes A, B y C.
Alguien me podría ayudar?

Plantea la descomposición en fracciones parciales:
(4x2-2x) / (x+2)(x-3)2 = a/(x+2) + b/(x-3) + c/(x-3)2 = ( a(x-3)2 + b(x+2)(x-3) + c(x+2) ) / (x+2)(x-3)2.
Luego, por igualdad entre expresiones algebraicas fraccionarias, igualas los numeradores remarcados, y queda:
a(x-3)2 + b(x+2)(x-3) + c(x+2) = 4x2-2x,
aquí tienes una igualdad entre expresiones polinómicas, por lo que puedes evaluar para tres valores, por ejemplo:
x = 3, x = - 2 (observa que estos dos son muy convenientes) y x = 0, y queda el sistema de ecuaciones:
5c = 30, aquí haces pasaje de factor como divisor, y queda: c = 6;
25a = 20, aquí haces pasaje de factor como divisor, y queda: a = 4/5;
9a - 6b + 2c = 0, reemplazas los valores remarcados, y queda: 36/5 - 6b + 12 = 0,
multiplicas en todos los términos de la ecuación por 5/6, y queda:
6 - 5b + 10 = 0, reduces términos semejantes, haces pasaje de término, y queda: - 5b = - 16,
aquí haces pasaje de factor como divisor, y queda: b = 16/5.
Luego, la integral queda:
I = ∫ ( (4x2-2x) / (x+2)(x-3)2 )*dx = (4/5)*∫ dx/(x+ 2) + (16/5)*∫ dx/(x-3) + 6*∫ dx/(x-3)2,
luego, integras término a término, y queda:
I = (4/5)*ln|x+2| + (16/5)*ln|x-3| - 6/(x-3) + C.
Espero haberte ayudado.
Hola chicos, dentro de unos días voy a tener el examen de matemáticas más difícil e importante de toda mi etapa estudiantil, del que prácticamente depende mi futuro (es decir, si me va bien, puedo ingresar a la universidad). Por lo tanto, quizá yéndome un poco de las dinámicas de este foro, quería saber qué me recomiendan hacer para disminuir el estrés. ¿Sigo estudiando? ¿O simplemente lo dejo de lado el tiempo previo? Algunos dicen que me dedique a hacer deporte... pero no sé, yo tengo un poco (o bastante) de miedo.
Si te lo sabes todo o casi todo, el dia anterior relajate (cine, o lo que sea), antes del examen procura no comentar las cosas, solo surgen dusas así.
Lee el examen con tranquilidad y haz lo que sepas primero, luego intenta el resto.
Animo y mucha suerte.
No sabria que decirte , es muy personal la manera de acometer un examen

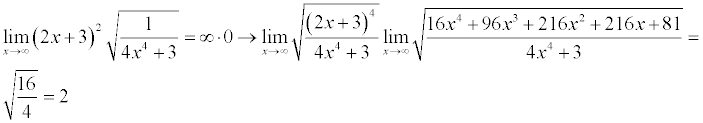
Puedes tratar el primer factor:
(2x+3)2 = 4x2 + 12x + 9 = x2(4 + 12/x + 9/x2) (1).
Luego, puedes tratar el denominador del argumento de la raíz cuadrada:
4x4+3 = x4(4 + 3/x4),
luego, distribuyes la raíz en el segundo factor, y queda:
√( x4(4 + 3/x4) ) = √(x4)*√(4+3/x4) = x2√(4+3/x4) (2).
Luego, plantea el límite de tu enunciado
Lím(x→+∞) (2x+3)2*√( 1/(4x4+3) ) = distribuyes la raaíz, y queda:
= Lím(x→+∞) (2x+3)2 * 1/√(4x4+3) =
sustituyes las expresiones señaladas (1) (2), y queda:
= Lím(x→+∞) x2(4 + 12/x + 9/x2) / x2√(4+3/x4) =
simplificas, y queda:
= Lím(x→+∞) (4 + 12/x + 9/x2) / √(4+3/x4) =
resuelves, y queda:
= 4/√(4) = 4/2 = 2.
Espero haberte ayudado.
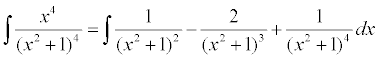
Hola buenas tardes,
¿Con que método o estrategia resolveríais esta integral? ∫(x4/(1 + x2)4)dx