
Plantea la expresión del incremento de la función:
Δf = f(x+h) - f(x) = (x+h)2ln(x+h) - x2lnx = (x2+2xh+h2)ln(x+h) - x2lnx = x2ln(x+h) + 2xhln(x+h) + h2ln(x+h) - x2lnx,
ordenas términos, agrupas términos, extraes factores comunes, y queda:
Δf = x2( ln(x+h) - lnx ) + h( 2xln(x+h) + hln(x+h) );
luego, divides en todos los términos de la ecuación por h, y queda:
Δf/h = x2( ln(x+h) - lnx )/h + ( 2xln(x+h) + hln(x+h) ),
luego, tomas límite que h tendiendo a cero en todos los términos de la ecuación, y queda:
f ' (x) = Lím(h→0) x2( ln(x+h) - lnx )/h + Lím(h→0) ( 2xln(x+h) + hln(x+h) ),
extraes factor común en el primer término, resuelves en el segundo término, y queda:
f ' (x) = x2Lím(h→0) ( ln(x+h) - lnx )/h + 2xlnx + 0,
luego, observa que la expresión remarcada corresponde a la expresión de la función derivada del logaritmo natural, sustituyes, y queda:
f ' (x) = x2(1/x) + 2xlnx + 0,
luego, simplificas en el primer término, cancelas el término nulo, y queda:
f ' (x) = x + 2xlnx.
Espero haberte ayudado.
No es correcto, el dominio es (-1,0) U (0,1)
Del dominio se deduce que está definida en (-1,1) y hay una discontinuidad en x=0
Para ver el proceso pincha en "mostrar pasos" en el apartado dominio en este enlace: https://es.symbolab.com/solver/step-by-step/f%5Cleft(x%5Cright)%3D%5Cfrac%7B1%7D%7Bx%7Dln%5Cleft(%5Cfrac%7B1%2Bx%7D%7B1-x%7D%5Cright)
Hola,
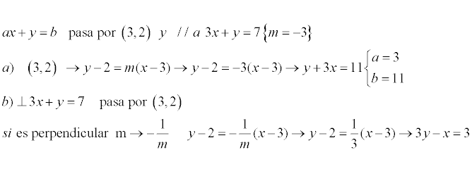
Por favor, necesitaría ayuda con este ejercicio sobre las rectas de una ecuación. Después de ver los vídeos he intentado hacerlo expresándolo de forma explícita y calculando la pendiente. Al estar planteado distinto, tengo dudas porque no sé si puedo despejar tanto x, como y. Muchas gracias!!
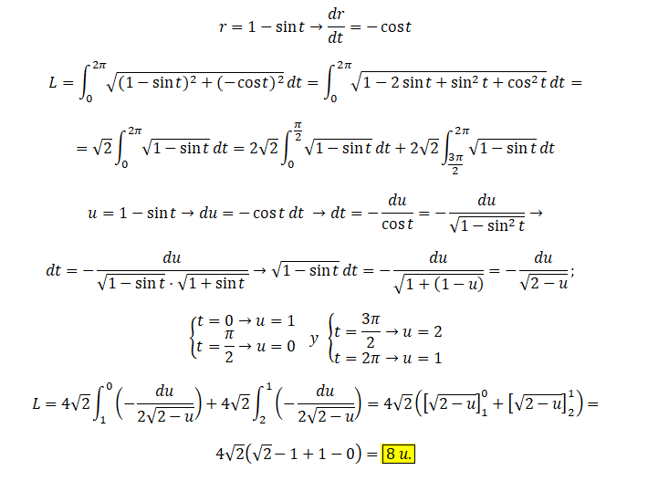
Hola buenas tardes me podrian ayudar con este problema por favor, gracias de antemano
Calcular la longitud del arco dada la curva
r = 1-sent con [0,2pi]
Hola unicoos , una duda la regla de L'Hôpital solo se aplica cuando hay un indeterminación 0/0 o infinito/infinito???? Gracias!!