Los foros de unicoos se han unificado en nuestra nueva plataforma beUnicoos. Para dejar
nuevas preguntas deberás hacerlo allí, donde además podrás encontrar nuevas asignaturas y
herramientas para ayudarte más con tus estudios.
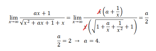
esto es lo que intente,derive,iguale a cero la derivada de la funcion,busque min y max,pero ahi me trabe en encontrar la imagen,preciso resolucion desde ya gracias
probe hacer l hopital,pero me costo,asintota oblicua tendria si no existiera asintota horizontal y si el exponente del numerador es mayor que el del denominador es correcto?.preciso resolucion.
Los FLAGS son la mejor manera que tenéis para ayudarnos a que todo sea como debe ser. Tu nos
indicas si has encontrado algún “problema” y nosotros posteriormente lo validamos. Si tu flag es
aceptado ganarás un FLAG, podrás ganar medallas y ascenderás en el RANKING de FLAGS. ;-) Como
ves hay diferentes tipos de flags. Te rogamos reportes el más adecuado y sólo cuando sea
necesario.
Si tu flag es denegado, puede ser que sea porque esta vez hemos hecho una excepción o porque no
sea apropiado. Suponemos entiendes que tener que validar o rechazar vuestros flags es un proceso
que requiere de mucho tiempo que preferimos utilizar ayudando a otros unicoos con sus dudas.
Referenciar recurso
Has ganado una medalla. Enhorabuena!
Aviso Legal e información sobre las condiciones de uso de la web
Política de privacidad
Newsletter de unicoos.com
¿Quieres estar al día de todas las herramientas, nuevos vídeos, exámenes y ejercicios resueltos?
Nunca te enviaremos publicidad de terceros, sólo noticias y actualizaciones de la plataforma.