Foro de preguntas y respuestas de Matemáticas

logo beUnicoos
Los foros de unicoos se han unificado en nuestra nueva plataforma beUnicoos. Para dejar nuevas preguntas deberás hacerlo allí, donde además podrás encontrar nuevas asignaturas y herramientas para ayudarte más con tus estudios.

  • icon

    Guillem De La Calle Vicente
    el 25/9/17

    Si lanzamos 1296 veces un dado, ¿cuál es la probabilidad aproximada que obtengamos entre 100 y 200 seises (ambos inclusive)?

    replythumb_up0 voto/sflag
    icon

    LanzaDardos
    el 25/9/17

    Es una binomial, pero aproxímala a una normal.

    thumb_up0 voto/sflag
    icon

    Antonius Benedictus
    el 25/9/17


    thumb_up0 voto/sflag
  • Usuario eliminado
    el 25/9/17

    Buenas chicos y chicas, os agradecería que me ayudaseis a esta operación; solo me trabo en el último paso que es el que os mando:

    357-35×20÷(-10)

    Gracias y espero vuestra respuesta chicos/as.

    replythumb_up0 voto/sflag
    icon

    Ángel
    el 25/9/17

    Recuerda que las multiplicaciones y divisiones se hacen antes que las sumas o restas,

    y se va de izquierda a derecha


    357-  35×20 ÷ (-10) =

    357-     700÷(-10) =

    357-      (-70)    =

    357  +    70  =

    427


    http://www.disfrutalasmatematicas.com/operaciones-orden-pemdas.html

    thumb_up1 voto/sflag

    Usuario eliminado
    el 25/9/17

    Muchas gracias Ángel.

    thumb_up0 voto/sflag
  • icon

    Sergio
    el 25/9/17

    ¿Ese sistema de ecuaciones podría resolverlo haciendo la reducción por Gauss de COLUMNAS en vez de filas de la matriz ampliada? Es que lo hago de un modo y otro y no me salen los mismos resultados. Muchas gracias de antemano. 

    replythumb_up0 voto/sflag
    icon

    Antonius Benedictus
    el 25/9/17

    El método de Gauss consiste en aplicar transformaciones elementales SOLAMENTE a las filas de la matriz ampliada.

    thumb_up1 voto/sflag
    icon

    Ángel
    el 25/9/17

    Lo único que puedes hacer con la columnas es cambiar su orden para acomodar la matriz y facilitar su triangulación


    http://recursostic.educacion.es/descartes/web/materiales_didacticos/sistemas_de_ecuaciones_lineales_2bcnt/metodo_de_gauss.htm

    thumb_up1 voto/sflag
  • icon

    flor pradilla
    el 25/9/17

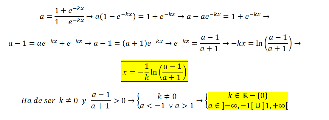
    Hola unicoos, pueden ayudarme a despejar la x? K y A son constantes

    replythumb_up0 voto/sflag
    icon

    Antonius Benedictus
    el 25/9/17


    thumb_up1 voto/sflag
  • icon

    Carmen
    el 25/9/17

    Calcula a y b para que el polinomio A (x)=  sea divisible por 

    replythumb_up0 voto/sflag
    icon

    Antonius Benedictus
    el 25/9/17


    thumb_up0 voto/sflag
    icon

    Carmen
    el 25/9/17

    ¿Qué has hecho en el último paso?

    thumb_up0 voto/sflag
    icon

    Antonius Benedictus
    el 25/9/17

    Resolver un sistema por reducción.

    thumb_up0 voto/sflag
  • icon

    German
    el 25/9/17

    Hola! por favor ¿me pueden ayudar mostrandome el procedimiento de este ejercicio de polinomios?

    Encuentra un polinomio a coeficientes reales del menor grado posible que tenga a -1 como raíz doble, a cero como raíz triple, que sea divisible por (x-2) y que   P( i )=0.

    ¿Existe una única solución? Saludos!

    replythumb_up0 voto/sflag
    icon

    Antonius Benedictus
    el 25/9/17


    thumb_up1 voto/sflag
    icon

    German
    el 26/9/17

    Muchas Gracias profe ! Saludos


    thumb_up0 voto/sflag
  • icon

    Sergio
    el 25/9/17

    Por favor, me podrían decir cuál es el dominio de esa función incluído el procedimiento (inecuaciones) que se sigue para llegar a la solución? Muchas gracias :) 

    F(x) =|ln[√(x+3)/√(x2+4)]|

    replythumb_up0 voto/sflag
    icon

    Antonius Benedictus
    el 25/9/17


    thumb_up1 voto/sflag
  • icon

    Irene
    el 25/9/17

    Buenas, 

    ¿Podríais ayudarme con el ejercicio 30 del tema de números reales y de contenido propagación del error?


    ¡Gracias de antemano!

    replythumb_up0 voto/sflag
    icon

    César
    el 25/9/17


    thumb_up0 voto/sflag
  • icon

    Rebeca Ramos
    el 25/9/17

    Buenos días:

    Tengo el siguiente problema (descomposición en factores simples) y me he quedado bloqueada hace 4 días porque no sé de dónde salen los resultados. ¿Me podríais ayudar y decidme cómo salen los resultados paso a paso? Os mando una imagen. Ejercicio A. No se seguir desde donde pone: "al igualar los numeradores del término primero...". ¿De dónde salen los resultados de las 3 ecuaciones? ¿y el resto del problema? Sin entenderlo, creo que el ejercicio B tampoco sabré hacerlo. Muchísimas gracias.


    replythumb_up0 voto/sflag
    icon

    Ángel
    el 25/9/17


    thumb_up1 voto/sflag
    icon

    Rebeca Ramos
    el 26/9/17

    Gracias por tu explicación. Me ha ayudado bastante. Pero sigo teniendo problemas con el sistema de ecuaciones. Lo he intentado resolver de todas las maneras posibles, y en ningún caso me da a=1/2, b=-1 y c=1/2. Seguramente lo esté haciendo mal. Me podrías ayudar? Muchísimas gracias!


    thumb_up0 voto/sflag
  • icon

    Ángel
    el 25/9/17


    replythumb_up0 voto/sflag
    icon

    Antonius Benedictus
    el 25/9/17


    thumb_up1 voto/sflag
    icon

    Ángel
    el 30/11/17

    Gracias.

    thumb_up0 voto/sflag