Foro de preguntas y respuestas de Matemáticas

logo beUnicoos
Los foros de unicoos se han unificado en nuestra nueva plataforma beUnicoos. Para dejar nuevas preguntas deberás hacerlo allí, donde además podrás encontrar nuevas asignaturas y herramientas para ayudarte más con tus estudios.

  • icon

    lbp_14
    el 24/9/17

    Hola Unicoos.

    Me podrían ayudar a operar lo siguiente. Muchas gracias


    replythumb_up0 voto/sflag
    icon

    Antonius Benedictus
    el 24/9/17

    Operación imposible.

    thumb_up1 voto/sflag
  • icon

    Marco
    el 24/9/17
    flag

    Estoy repasando inecuaciones y tras una explicación en la que no aparecen "U" me lo muestran como posible respuesta en vuestro examen de final de tema. 1º Donde puedo ver el temario de U.? Por otro lado también se han colado inecuaciones de ^2 grado así que supongo que esta mal no? deberían de aparecer en el examen del temario de inecuaciones de segundo grado...

    replythumb_up0 voto/sflag
    icon

    David
    el 23/10/17

    Lo siento, no entiendo tu duda...

    thumb_up1 voto/sflag
  • icon

    arieel
    el 24/9/17

    juan debe rendir examenes de matematicas y de lengua para ingresar aun colegio.¿cuantos resultados diferentes puede obtener si en cada asignatura se lo califica con nota correspondida entre 1 y 10, ambas inclusive ? para aprobar juan debe obtener 6 puntos o mas en mataematicas y 7 o mas en lengua. ¿cuantos de los resultados posibles resultan favorable? 

    replythumb_up0 voto/sflag
    icon

    Ángel
    el 24/9/17

    En matemáticas:

    resultados posibles: :10-1= 9

    resultados favorables: 10-6= 4

    En lengua:

    resultados posibles: :10-1= 9

    resultados favorables: 10-7= 3


    Total resultados posibles=9+9= 18

    Total resultados favorables=4+3= 7

    Probabilidad resultado favorable= 7/18

    thumb_up1 voto/sflag
  • icon

    arieel
    el 24/9/17


    Martin quiere preparar un sanguche. para ello cuenta con: manteca y mayonesa, jamon,  salame y mortadela, tomate y lechuga. si quiere untar ambos trozos de pan con la misma sustancia y que en su interior haya un fiambre y un vegetal.¿ de cuantas maneras puede hacerlo?

    replythumb_up0 voto/sflag
    icon

    Ángel
    el 24/9/17

    Puede preparar un sandwich de pan, manteca y mayonesa con 2*3= 6 combinaciones diferentes.

    thumb_up1 voto/sflag
  • icon

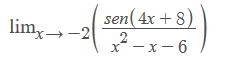
    Jorge
    el 24/9/17

    Hola, tengo una duda con este límite (NO puedo aplicar l'hopital)


    Se me ocurre intentar sacar el seno fuera del límite, para poder hacer factor común 4 en el numerador, y poder simplificar con el (x+2) que podría obtener en el denominador, pero no lo veo del todo bien, alguna sugerencia ?

    replythumb_up0 voto/sflag
    icon

    Antonius Benedictus
    el 24/9/17


    thumb_up1 voto/sflag
  • icon

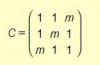
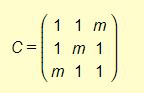
    Juan
    el 24/9/17

    Necesito ayuda para plantear este ejercicio: 

    ¿Con que valor de m obtengo un determinante con resultado diferente a 0?

    replythumb_up0 voto/sflag
    icon

    Ángel
    el 24/9/17

    Obtienes valores con los que |C|=0 haciendo Sarrus:

    m+m+m-m3-1-1=0

    -m3+3m-2=0

    m3-3m+2=0

    Haces factorización por Ruffini y obtienes:

    (m-1)*(m-1)*(m+2)= 0  ------------>   m1=1 , m2= -2


    Por lo tanto, sólo con m1=1 , m2= -2  tenemos un determinante igual a cero, o lo que es lo mismo: PARA TODO EXCEPTO m=1 y m= -2 el DETERMINANTE ES DISTINTO DE CERO.

    thumb_up1 voto/sflag
  • icon

    agustin
    el 23/9/17
    flag

    Hola Unicoos , alguien me podria indicar que criterio debo utilizar para derivar por regla o mediante la definición en Calculo II? Muchas gracias!

    replythumb_up0 voto/sflag
    icon

    Ángel
    el 23/9/17



    thumb_up0 voto/sflag
  • icon

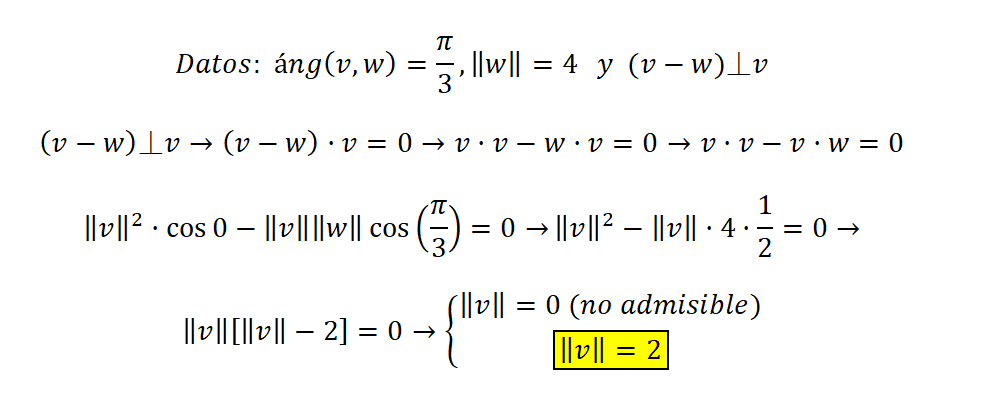
    Seba Gallardo
    el 23/9/17

    Hola Unicoos! No sé cómo resolver este ejercicio, intenté hacerlo y no me sale. Es álgebra, tema vectores. ¿Podrán ayudarme con el razonamiento que tengo que llevar a cabo por favor? Gracias.




    replythumb_up0 voto/sflag
    icon

    Antonius Benedictus
    el 24/9/17


    thumb_up1 voto/sflag
  • icon

    Marcela Ramirez
    el 23/9/17

    Como representar gráficamente el nro irracional  raíz cuadrada de 17/3?

    replythumb_up0 voto/sflag
    icon

    Desencadenado
    el 23/9/17

    Usuario eliminado
    el 23/9/17

    Dibuja un triángulo rectángulo de hipotenusa 26 y cateto mayor 25. Divide el cateto menor en tres segmentos iguales. Cada división mide raíz cuadrada de 17/3.

    thumb_up1 voto/sflag
  • icon

    Rodriguez 550
    el 23/9/17

    Como se calcula la varianza residual?

    Un slaudo


    replythumb_up0 voto/sflag
    icon

    César
    el 23/9/17

    Es tema Universitario 

    http://www.dmae.upm.es/WebpersonalBartolo/Probabilidad/11_Estadistica%20Desciptiva/ejercicios%20resueltos%20descriptiva%20bidimensional%20de%20Jorge%20Mateu%20.pdf

    thumb_up0 voto/sflag