¿Alguien me podria prestar su ayuda, no en todos si no a entender como graficar, y si pueden colocarme de ejemplos el a o el c, porfavor alguien puede?

¡Hola! Nos encantaría ayudarte, pero no solemos responder dudas universitarias que no tengan que ver específicamente con los vídeos que David Calle ha grabado como excepción. O de otras asignaturas que no sean Matemáticas, Física y Química. Lo sentimos de corazón… Esperamos que lo entiendas.
Ojalá algún unicoo universitario se anime a ayudarte (de hecho, lo ideal es que todos los universitarios intentarais ayudaros los unos a los otros).
buenass, pregunta: como se encuentra la proyección ortogonal de un vector? quisiera algo genérico para poder aplicarlo en cualquier caso, me pasarían la teoria?
Buenos días. He pagado la suscripción pro pero no puedo acceder a los ejercicios. Alguien sabe donde puedo dirigirme
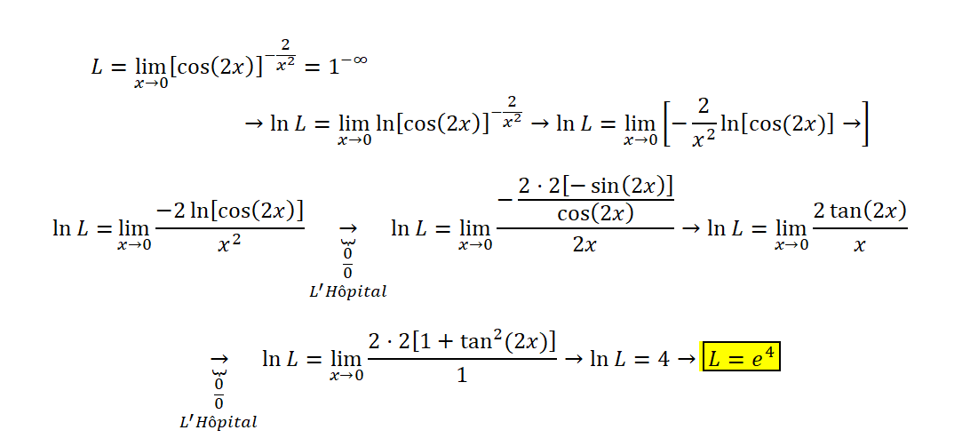
Hola, buenas. Estoy teniendo dificultades con unos problemas de cálculo vectorial, uno de ellos es el siguiente:
Cómo tendría que demostrar esos puntos? Y no comprendo cómopuedo interpretarlo en términos de paralelogramo. Alguien me puede ayudar? , gracias de antemano.
ΙΙxΙΙ²= <x,x> , ΙΙyΙΙ²= <y,y> , ΙΙx+yΙΙ²= <x+y,x+y> , ΙΙx-yΙΙ²= <x-y,x-y>
2ΙΙxΙΙ² + 2 ΙΙyΙΙ² = ΙΙx+yΙΙ² + ΙΙx-yΙΙ²
2 <x,x> + 2 <y,y> = <x+y,x+y> + <x-y,x-y>
2 <x,x> + 2 <y,y> = <x, ,x+y> + <y,x+y> + <x,x-y> -<y,x-y>
2 <x,x> + 2 <y,y> = <x,x> +<x,y> + <y,x> + <y,y> +<x,x> - <x,y> -[<y,x> - <y,y>]
2 <x,x> + 2 <y,y>= 2<x,x> + 2 <y,y>
Relación de equivalencia (es reflexiva=cada elemento está relacionado consigo mismo, simétrica=si un elemento está relacionado con uno, ese uno también está relacionado con el otro y transitiva= si el elemento1 está relacionado con el elemento2 y el elemento2 con el 3: entonces el elemento1 está relacionado con el 3)
Buenos dias gente, necesito de su ayuda para hacer estos trabajos, nada mas son esos ejercicios

¡Hola! Nos encantaría ayudarte, pero no solemos responder dudas universitarias que no tengan que ver específicamente con los vídeos que David Calle ha grabado como excepción. O de otras asignaturas que no sean Matemáticas, Física y Química. Lo sentimos de corazón… Esperamos que lo entiendas.
Ojalá algún unicoo universitario se anime a ayudarte (de hecho, lo ideal es que todos los universitarios intentarais ayudaros los unos a los otros).
Buenas noches, estoy intentando hacer esta operación combinada pero se me atraviesa; si pueden me gustaría que me ayudasen de alguna forma, aquí se la dejo. Muchas gracias de nuevo.
15×[5+3×(17-2×2×3:6)-5×(2+3×2)2 ]+[5×(3-2)]
Esta es la cuenta. Muchas gracias. Después de la elevación al cuadrado, iría el corchete y no arriba donde el dos, error mio.