Hola, tengo una duda de como puedo resolver este problema... El cateto menor de un triangulo rectángulo mide 11 metros y la hipotenusa 1 metro más que el otro cateto. Hallar el otro lado
El teorema de Pitágoras nos dice que:
hipotenusa2=(cateto1)2+(cateto2)2
y el ejercicio nos da estos datos:
cateto1=11 m
hipotenusa=1+cateto2
Sustituyendo los datos en el teorema de Pitágoras obtenemos la ecuación;
(1+cateto2)2 = (11)2+(cateto2)2
Vamos a empezar a resolverla ayudándonos de la fórmula del cuadrado de la suma (a+b)2=a2+b2+2*a*b
12+(cateto2)2+2*1*cateto2 = (11)2+(cateto2)2
Pasamos (cateto2)2 al otro lado restando:
12+2*1*cateto2= (11)2+ (cateto2)2 - (cateto2)2
y queda:
12+2*1*cateto2= (11)2
Desarrollamos cuadrados y efectuamos multiplicaciones:
1+2*cateto2= 121
Obtenemos el valor del cateto2:
cateto2= (121-1)/2
cateto2= 60 metros
Calcula la dimensión de los 2 fractales, hice escalera de Cántor (fase 0 de 19,5 cm hasta fase 3), peine de Cántor (fase 0 de 19,5 cm hasta fase 3)

¡Hola! Nos encantaría ayudarte, pero no solemos responder dudas universitarias que no tengan que ver específicamente con los vídeos que David ha grabado como excepción. O de otras asignaturas que no sean Matemáticas, Física y Química. Lo sentimos de corazón… Esperamos que lo entiendas.
Ojalá algún unicoo universitario se anime a ayudarte (de hecho, lo ideal es que todos los universitarios intentarais ayudaros los unos a los otros).
Ayuda por favor, con lo siguiente:
Una recta pasa por el origen y por la intersección de las rectas.
L1: 3x + 2y -14= 0
L2: x - 3y - 1= 0
Hallar su ecuación sin determinar su punto de intersección.

Plantea la ecuación genérica de una recta que pasa por el origen de coordenadas (indicamos a su pendiente con m):
y = mx (1);
luego sustituyes la expresión señalada (1) en las ecuaciones de las rectas del enunciado (observa que dichas rectas y la recta buscada se cortan las tres en un mismo punto) y queda:
3x + 2mx - 14 = 0
x - 3mx - 1 = 0;
haces pasajes de términos numéricos en ambas ecuaciones, extraes factores comunes en ambas ecuaciones, y queda:
x(3 + 2m) = 14
x(1 - 3m) = 1;
luego, haces pasajes de factores (que suponemos no son nulos) como divisores en ambas ecuaciones y queda:
x = 14/(3 + 2m)
x = 1/(1 - 3m);
igualas expresiones y queda:
14/(3 + 2m) = 1/(1 - 3m),
haces pasajes de divisores como factores y queda:
14(1 - 3m) = 1(3 + 2m),
distribuyes en ambos miembros y queda:
14 - 42m = 3 + 2m,
haces pasajes de términos y queda:
- 44m = - 11,
haces pasaje de factor como divisor y queda:
m = 1/4, que es la pendiente de la recta buscada.
Luego reemplazas en la ecuación señalada (1) y queda:
y = (1/4)x,
que es la ecuación cartesiana explícita de la recta buscada.
Espero haberte ayudado.
Supongamos que la altura de las mujeres de una cierta población sigue una distribución normal de media 1'65 metros y desviación típica 0'08 metros. Por otro lado, la altura de los hombres de la misma población sigue una distribución normal de media 1'75 metros y desviación típica 0'07 metros.
Encuentra una altura de forma que el 25% de los hombres de esta población midan más de aquel valor, y el 75%, menos.
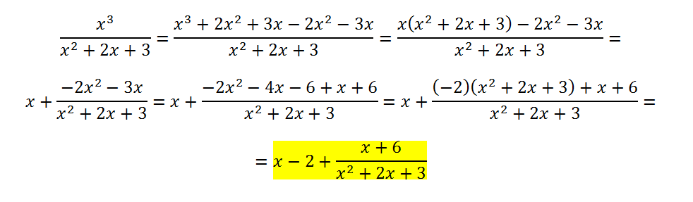
Exprese la función racional dada como la suma de un polinomio con otra función racional cuyo numerador sea o bien cero, o bien de menor grado que el denominador.
x3/(x2+2x+3)

Efectuamos la división entre el numerador (que es de grado tres) y el denominador (que es de grado dos), y para ello planteamos el algoritmo de división en forma esquemática:
1 0 0 0 1 2 3
-1 -2 -3 1 -2 (coeficientes del polinomio cociente)
----------------
-2 -3 0
2 4 6
----------------
1 6 (coeficientes del polinomio resto).
Luego tienes:
x3/(x2+2x+3) = x - 2 + (x+6)/(x2+2x+3).
Espero haberte ayudado.
Hola Unicoos,
Podría afirmar que ∫[(xm + xn )4/x ]dx es lo mismo que ∫[(xm•4 + xn•4)/x]dx ó lo correcto sería: ∫[[(xm+xn)2•(xm+xn )2]/[x]]dx ? Lo podría resolver como la primera forma que he puesto, por qué? Esque existe una fórmula para los binomios elevados a potencia 4 pero es muy larga, ya que yo solo aplico la de binomio elevado al cuadrado y no sé si es correcto así. Muchas gracias.

Recuerda el desarrollo de la cuarta potencia de un binomio:
(a + b)4 = a4 + 4a3b + 6a2b2 + 4ab3 + b4,
luego, sustituyes: a = xm, b = xn, y tienes para el numerador de la expresión:
(xm + xn)4 = (xm)4 + 4(xm)3(xn) +6(xm)2(xn)2 + 4(xm)(xn)3 + (xn)4 =
resuelves exponentes y queda:
= x4m + 4x3mxn +6x2mx2n + 4xmx3n + x4n =
resuelves productos de potencias con bases iguales y queda:
= x4m + 4x3m+n +6x2m+2n + 4xm+3n + x4n;
luego, tienes para el argumento de tu enunciado:
(xm + xn)4 / x =
sustituyes en el numerador y queda:
= (x4m + 4x3m+n +6x2m+2n + 4xm+3n + x4n) / x =
disitribuyes el denominador y queda:
= x4m-1 + 4x3m+n-1 +6x2m+2n-1 + 4xm+3n-1 + x4n-1;
luego, solo queda que integres término a término.
Espero haberte ayudado.

Para resolver integrales con argumentos con potencias con exponente natural de un binomio,
es conveniente que emplees la notación de sumatoria:
(a + b)p = ∑(k=0,p) C(p,k)*ak*bp-k = ∑(k=0,p) ( p! / (k!*(p-k)! )*ak*bp-k.
Para el ejemplo de tu enunciado, tienes: a = xm, b = xn, p = 4,
luego sustituyes y queda:
(xm + xn)4 = ∑(k=0,4) ( 4! / (k!*(4-k)! )*(xm)k*(xn)4-k,
resuelves las potencias cuyas bases son otras potencias, y queda:
(xm + xn)4 = ∑(k=0,4) ( 4! / (k!*(4-k)! )*xm*k*xn*(4-k),
resuelves el producto de potencias con bases iguales y queda:
(xm + xn)4 = ∑(k=0,4) ( 4! / (k!*(4-k)! )*xm*k+n*(4-k),
distribuyes en el exponente del último factor y queda:
(xm + xn)4 = ∑(k=0,4) ( 4! / (k!*(4-k)! )*xm*k+4*n-n*k,
luego, tienes para el argumento de tu enunciado
(xm + xn)4/x = ∑(k=0,4) ( 4! / (k!*(4-k)! )*xm*k+4*n-n*k / x,
resuelves la división de potencias con bases iguales entre el último factor de la sumatoria y el divisor, y queda:
(xm + xn)4/x = ∑(k=0,4) ( 4! / (k!*(4-k)! )*xm*k+4*n-n*k-1,
luego, puedes pasar a la integral de tu enunciado:
∫ [ (xm + xn)4/x ]*dx =
sustituyes el argumento y queda:
= ∫ [ ∑(k=0,4) ( 4! / (k!*(4-k)! )*xm*k+4*n-n*k-1 ]*dx =
introduces la integral dentro de la sumatoria (recuerda que integramos término a término) y queda:
= ∑(k=0,4) ∫ [ ( 4! / (k!*(4-k)! )*xm*k+4*n-n*k-1 ]*dx =
extraes factores y divisores constantes (para la integral) fuera de la integral y queda:
= ∑(k=0,4) ( 4! / (k!*(4-k)! ) ∫ xm*k+4*n-n*k-1*dx =
integras (observa que empleamos la regla de integración para las potencias con exponente numérico) y queda:
= ∑(k=0,4) ( 4! / (k!*(4-k)! )*( xm*k+4*n-n*k )/(m*k+4*n-n*k) + C.
Espero haberte ayudado.
Hola David, hay algún video de funciones hiperbólicas???, si no es así, podrías hacer alguno explicándolo?? Gracias de antemano!!!
No hay vídeos de ese tipo de funciones, por ser contenido universitario
Por si te sirve mientras: https://matematica.laguia2000.com/general/funciones-hiperbolicas