holaa , como estan? me ayudan por fa? no se ve en la foto, pero ya halle los focos de la elipse por donde pasa la cia, pero no se como continuar, porque me parece que tender muchas incognitas... muchisimas gracias

¡Hola! Nos encantaría ayudarte, pero no solemos responder dudas universitarias que no tengan que ver específicamente con los vídeos que David ha grabado como excepción. O de otras asignaturas que no sean Matemáticas, Física y Química. Lo sentimos de corazón… Esperamos que lo entiendas.
Ojalá algún unicoo universitario se anime a ayudarte (de hecho, lo ideal es que todos los universitarios intentarais ayudaros los unos a los otros).
Hola David, tengo un examen de matematicas de primero de carrera, la parte de algebra lo he estudiado gracias a tus vídeos y todos los ejercicios me salen, pero tengo otra parte de en la.que entran las funciones de lagrange y, quería saber si tienes algunos.vídeos donde los explicas.. ya que he buscado y creo no haberlo encontrado, muchas gracias a ti y a todo tu equipo, un saludo!!!!
Buenas tardes unicoos. Estudiando para la Prueba de Acceso a Grado Superior me he encontrado este examen de matemáticas de Junio 2017. Podéis ayudarme??
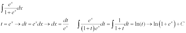
Hola. No son deberes, soy autodidacta. Hay una integral que no logro resolverla: S ([(sin x) / (1 + sin x)] · dx = ? Y por favor, no recurran a tablas con integrales ya hechas (excepto las tablas muy breves que contienen las aproximadamente diez más fundamentales así como las tres o cuatro reglas [ya saben, que si la regla de "por partes", que si "por sustitución"...]). No recurran a programas como Wolfram copiando el resultado y los pasos que se dieron... en fin, me gustaría que saliera de ustedes la respuesta, que se estrujasen el melón como yo ya voy haciendo, pero es que no hay modo de obtenerla, ayuda porfa. También me gustaría que me lo demostrasen derivando el resultado. Gracias.

Vamos con otra opción.
Tienes en el argumento de la integral:
f(x) = senx/(1+senx), multiplicas al numerador y al denominador por 1-senx, operas en el denominador y queda:
f(x) = senx(1-senx) / (1-sen2x), distribuyes en el numerador, aplicas identidad trigonométrica en el denominador, y queda:
f(x) = (senx - sen2x)/cos2x, distribuyes el denominador y queda:
f(x) = senx/cos2x - sen2x/cos2x, aplicas identidad trigonométrica en el numerador del segundo término y queda:
f(x) = senx/cos2x - (1-cos2x)/cos2x, distribuyes el denominador y el signo en el segundo término y queda:
f(x) = senx/cos2x - 1/cos2x + 1.
Luego, solo queda que integres término a término, y observa que en el primer término debes aplicar la sustitución (cambio de variable): w = cosx, y que en los demás términos la integración es directa.
Espero haberte ayudado.