Foro de preguntas y respuestas de Matemáticas

logo beUnicoos
Los foros de unicoos se han unificado en nuestra nueva plataforma beUnicoos. Para dejar nuevas preguntas deberás hacerlo allí, donde además podrás encontrar nuevas asignaturas y herramientas para ayudarte más con tus estudios.

  • icon

    julio
    el 31/8/17

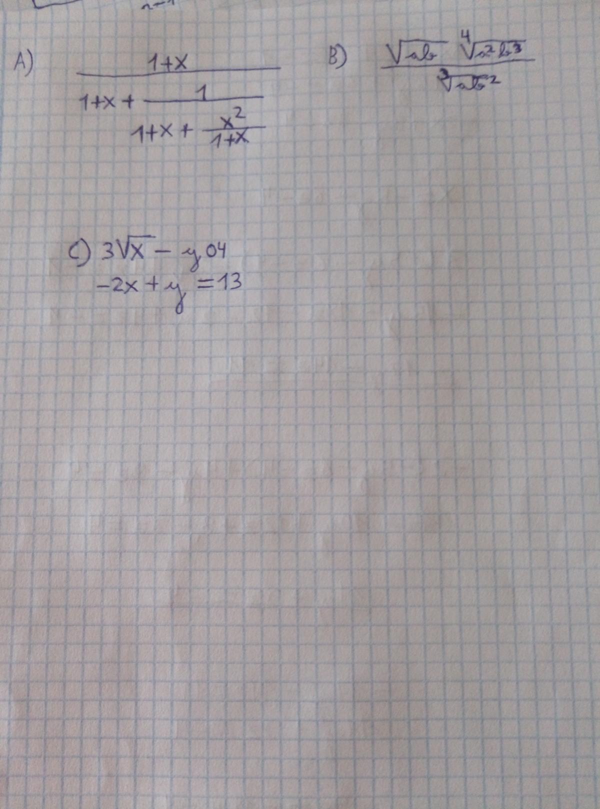
    Pueden ayudarme a comprobar gracias


    replythumb_up0 voto/sflag
    icon

    Guillem De La Calle Vicente
    el 31/8/17


    thumb_up0 voto/sflag
  • icon

    C. Rodríguez
    el 31/8/17

    Las A.V no tienen q acabar en infinito y no en un numero(0 por ejemplo)?

    replythumb_up0 voto/sflag
    icon

    César
    el 31/8/17

    Asintotas verticales

    Son rectas verticales x=K

    thumb_up0 voto/sflag
    icon

    Guillem De La Calle Vicente
    el 31/8/17

    Las x con un número y las y al infinito o menos infinito.

    Saludos.

    thumb_up0 voto/sflag
  • icon

    julio
    el 31/8/17

    Me pueden ayudar a comprobar? Gracias


    replythumb_up0 voto/sflag
    icon

    Guillem De La Calle Vicente
    el 31/8/17


    thumb_up0 voto/sflag
  • icon

    C. Rodríguez
    el 31/8/17

    El ej 3 unicamente hay q dar valores acordes a las exigencias(si x es menor mayor,etc) y representar?

    Y el 5 como averiguo la continuidad?,dando un valor q se ubique a un extremo de la funcion? Para saber a q extremo continuara la funcion


    replythumb_up0 voto/sflag
    icon

    Ángel
    el 31/8/17

    El 3 dando valores a x obtienes los de y, representas esos puntos en esa gráfica.

    Ayudándote de la información que puedes obtener de las ecuaciones cuadráticas y de que y= -4 es constante (una línea horizontal) le darás una forma más aproximada.


    El 5  

     lim x->0- x^2 -1 = 0-1= -1

     lim x->0+ 2x-3 = 0-3 = -3

    Como -1 no es igual que -3 no es contínua (deberían ser iguales los valores)

    thumb_up1 voto/sflag
  • icon

    C. Rodríguez
    el 31/8/17

    El ejercicio de Asintotas(el 4) me da q no hay ninguna Asintota,¿es correcto?


    replythumb_up0 voto/sflag
    icon

    Ángel
    el 31/8/17

    Tiene una asíntota vertical en x= -4, porque el denominador se hace cero en ese valor

    2x+8=0  ----->  x= -4

    thumb_up0 voto/sflag
    icon

    Ángel
    el 31/8/17


    thumb_up0 voto/sflag
    icon

    Desencadenado
    el 31/8/17

    debería tener una síntota vertical en x= -4 Saludos!

    thumb_up0 voto/sflag
    icon

    C. Rodríguez
    el 31/8/17

    Pero las A.V no tienen q acabar en infinito y no en un numero?

    thumb_up0 voto/sflag
  • Usuario eliminado
    el 31/8/17

     Como hago esto??(function(){var g=this;function h(b,d){var a=b.split("."),c=g;a[0]in c||!c.execScript||c.execScript("var "+a[0]);for(var e;a.length&&(e=a.shift());)a.length||void 0===d?c[e]?c=c[e]:c=c[e]={}:c[e]=d};function l(b){var d=b.length;if(0=d.offsetWidth&&0>=d.offsetHeight)a=!1;else{c=d.getBoundingClientRect();var f=document.body;a=c.top+("pageYOffset"in window?window.pageYOffset:(document.documentElement||f.parentNode||f).scrollTop);c=c.left+("pageXOffset"in window?window.pageXOffset:(document.documentElement||f.parentNode||f).scrollLeft);f=a.toString()+","+c;b.b.hasOwnProperty(f)?a=!1:(b.b[f]=!0,a=a<=b.g.height&&c<=b.g.width)}a&&(b.a.push(e),b.c[e]=!0)}p.prototype.checkImageForCriticality=function(b){b.getBoundingClientRect&&q(this,b)};h("pagespeed.CriticalImages.checkImageForCriticality",function(b){n.checkImageForCriticality(b)});h("pagespeed.CriticalImages.checkCriticalImages",function(){r(n)});function r(b){b.b={};for(var d=["IMG","INPUT"],a=[],c=0;c

    replythumb_up0 voto/sflag
  • icon

    Guillem De La Calle Vicente
    el 31/8/17


    replythumb_up0 voto/sflag
    icon

    Antonius Benedictus
    el 31/8/17


    thumb_up0 voto/sflag
  • icon

    fran ortiz
    el 31/8/17

    como se calcula el limite cuando xtienede a 2 de x3-x-6/2x-x2?

                                                                                          

    replythumb_up0 voto/sflag
    icon

    Guillem De La Calle Vicente
    el 31/8/17
    flag

    Pon el enunciado original fran. Una imagen o algo porque como lo has puesto pueden ser muchas funciones.

    Saludos.

    thumb_up0 voto/sflag
    icon

    Antonius Benedictus
    el 31/8/17

    Factoriza el numerador por Ruffini.

    El denominador es  (-x)((x-2)

    Simplifica el factor común (x-2)

    Sustituye x=2 e la fracción resultante.

    thumb_up0 voto/sflag
    icon

    Ángel
    el 31/8/17

    lim x->2 (x3-x-6)/(2x-x2) = 0/0 = indeterminación

    Hacemos L´Hopital (derivada en el numerador y en el denominador) y queda:

    lim x->2 (3x2-1)/(2-2x)

    ya podemos sustituir la equis y obtenemos:

    (3*22-1)/(2-2*2) =     (3*4 -1)/(2-2*2) =     (12-1)/(2-4) =   11/-2 =   -11/2

    thumb_up0 voto/sflag
  • icon

    Carmen
    el 31/8/17
    flag

    Hola! Alguien me puede ayudar con estos dos ejercicios, por favor?
    No los entiendo.


    replythumb_up0 voto/sflag
    icon

    Guillem De La Calle Vicente
    el 31/8/17

    No se ve bien la imagen.

    Saludos.

    thumb_up0 voto/sflag
    icon

    Carmen
    el 31/8/17

    El enunciado es:

    1- Pablo salió de su casa a las 8 de la mañana para il al instituto. En el recreo, tuvo que  volver a su casa para ir con su padre al médico. La siguiente gráfico refleja la situación:

    a) A qué hora comienzan las clases y a qué hora empieza el recreo=

    b) ¿A qué distancia de su casa está el instituto? ¿Y el consultorio médico?

    c) ¿Cuánto tiempo ha estado en clase? ¿Y en el consultorio médico?

    d) Haz una interpretación completa de la gráfica.

    2- Describe la siguiente función, indicando cuáles son las variables independientes y dependiente, el dominio, crecimiento, máximos y mínimos, tendencias y periodicidad.

    thumb_up0 voto/sflag
    icon

    Ángel
    el 31/8/17

    3.

    a) Las clases comienzan a las 08:30

    El recreo a las 11:15


    b) El instituto está a 750 metros

    El consultorio médico está a 1500 metros


    c) En clase ha estado de 08:30 a 11:15

    En el médico ha estado de 12:15 a 13:00


    d) Interpretación de la gráfica:

    08:00-08:30: De casa al colegio (hizo 750 metros)

    08:30-11:15: En clase (hizo 0 metros)

    11:15-11:45: Del colegio a casa (hizo 750 metros)

    11:45-12:15: De casa al médico (hicieron 1500 metros)

    12:15-13:00: En el médico (hizo 0 metros)

    13:00-13:30:Del médico a casa (hizo 1500 metros)

    thumb_up0 voto/sflag
    icon

    Ángel
    el 31/8/17


    thumb_up0 voto/sflag
  • icon

    alvaro
    el 31/8/17
    flag

    Alguien me puede ayudar con estos problemas? 


    replythumb_up0 voto/sflag
    icon

    Guillem De La Calle Vicente
    el 31/8/17

    Cuál es el enunciado del ejercicio? Qué pide?

    Saludos.

    thumb_up0 voto/sflag