
¡Hola! Nos encantaría ayudarte, pero no solemos responder dudas universitarias que no tengan que ver específicamente con los vídeos que David ha grabado como excepción. O de otras asignaturas que no sean Matemáticas, Física y Química. Lo sentimos de corazón… Esperamos que lo entiendas.
Ojalá algún unicoo universitario se anime a ayudarte (de hecho, lo ideal es que todos los universitarios intentarais ayudaros los unos a los otros).
Holaa!! Mirar esque tengo una duda por que he hecho un ejercicio con raíces y no se si lo tengo bien, me ayudaría si alguien pudiera corregírmelo, graciias!!
2√5(√20-8√45)-(√3+√5)²= 2√5(√20-8√45)-(√3)²+(√5)²+2(√3)(√5)= 2√5×(√20-8√45)-3+5+2√3√5= 2√5(√2²5-8√3²5)-3+5+2√3√5=2√5(2√5-24√5)-3+5+2√3√5=(4√5-48√5)-3+5+2√3√5=-44√5-3+5+2√3√5= -44√5+2+2√3√5= -44√5+2+2√3
Efectivamente, esos ejemplos permiten sospechar que la afirmación es verdadera y darnos una idea de como hacer una demostración general.
Pero sólo has probado para 3 números, para probar que la afirmación es verdadera para todos los reales te falta probar otros infinitos.
Saludos.
Buenas :)
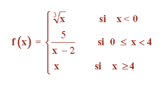
Alguien me podria solucionar una duda muy rapida?
Como se harían las asíntotas horizontales de esta funcion? Las verticales son {0,2,4}.
Muchas gracias :D