
Me encantaría ayudarte, pero no respondo dudas universitarias que no tengan que ver específicamente con los videos que ya he grabado como excepcion. O de otras asignaturas que no sean matemáticas, física y química. Lo siento de corazón… Espero lo entiendas
Ojalá algun unicoo universitario se anime a ayudarte (de hecho lo ideal es que todos los universitarios intentarais ayudaros los unos a los otros)
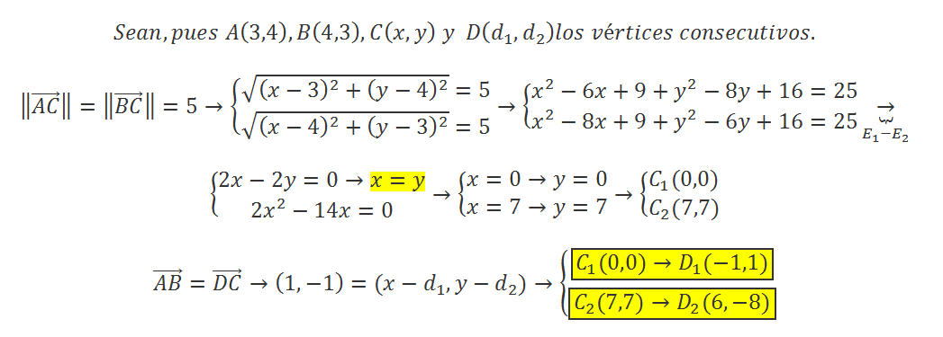
De un paralelogramo se sabe que A(3,4) y B(4,3). Además, las coordenadas de todos sus vértices son ambas positivas, y la diagonal AC mide lo mismo que el lado BC, 5u. Calcula los vértices C y D.
Llevo un montón de tiempo con el problema, y lo único que se me ocurre es plantear que la distancia de C a A es igual a la distancia de B a C. Resolviendo esto me queda de solución la recta y=x (la mediatriz del segmento AB). He estado buscando maneras de encontrar otra recta con la que hallar su intersección para sacar C, pero nada, no se me ocurre ninguna forma. Muchísimas gracias.
Hola, me ayudan con estos ejercicios de continuidad porfa?
1)Pruebe que f(x) = a^x , a>0 es continua ∀x0∈ℛ
2)Determinar el valor que debemos dar a g(0) para que g(x) = (x^2)*cos(1/x) sea continua en x0=0
Obtenga el dominio y el rango de cada una de las funciones.
g(x)=1/(1-√(x-2))

El dominio de g(x):
x-2 ≥ 0 → x ≥ 2
1-√(x-2) = 0 → 1 = √(x-2) → 12 = x-2 → 3 = x
El dominio tiene que ser menor o igual que cero debido a la raíz cuadrada, y el denominador tampoco puede valer cero.
Dominio de g(x) = [-2,3)u(3,∞)
Rango de g(x):
g-1(x): x = (1-2x+3x^2)/x^2
Como el dominio de g-1(x) es (-∞,0)u[1,∞), entonces el rango de g(x) = (-∞,0)u[1,∞)
hola unicoos una pregunta sobre mi tarea de logica matematica, debo determinar si las siguiente formula bien formada es tautología (demostrandolo por contradicción) pero no le entiendoooo podian explicarme como resolver este ejemplo porfavor :) gracias

¡Hola! Nos encantaría ayudarte, pero no solemos responder dudas universitarias que no tengan que ver específicamente con los vídeos que David ha grabado como excepción. O de otras asignaturas que no sean Matemáticas, Física y Química. Lo sentimos de corazón… Esperamos que lo entiendas.
Ojalá algún unicoo universitario se anime a ayudarte (de hecho, lo ideal es que todos los universitarios intentarais ayudaros los unos a los otros).