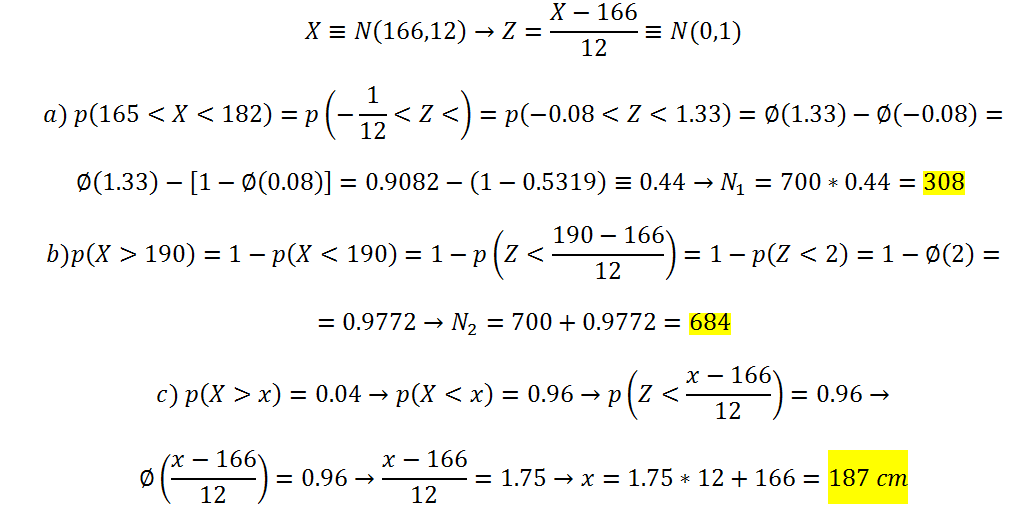
Los 700 soldados de un cuartel poseen una altura que se distribuye según una normal de parámetros μ = 166 cm, σ = 12 cm. Hallar el número aproximado de soldados cuya altura esté comprendida entre 165 y 182 cm. ¿Cuántos medirán más de 190 cm? Si los mandos del ejercito forman un batallón de ''gastadores'' con el 4% de los soldados más altos, ¿a partir de qué altura deben seleccionarse?
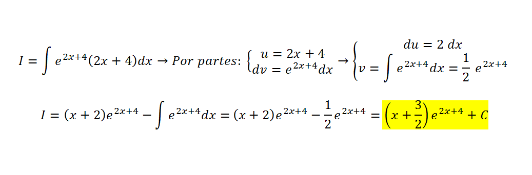
Hola unicoos, igual que llegado el momento se usa la identidad cos2x=1-sen2x, por qué no usa desde el principio que sen2x=1-cos2x? Me explico, ya sé que si lo haces como yo he planteado no da bien, pero con que criterio lo uso a mitad de ejercicio y no desde el principio? Cosa de práctica? Tengo que ir yo dándome cuenta de cómo va a ir evolucionando la integral?
Hola, alguien podria ayudarme a resolver las consignas del punto 6? Muchas gracias !!!

¡Hola! Nos encantaría ayudarte, pero no solemos responder dudas universitarias que no tengan que ver específicamente con los vídeos que David ha grabado como excepción. O de otras asignaturas que no sean Matemáticas, Física y Química. Lo sentimos de corazón… Esperamos que lo entiendas.
Ojalá algún unicoo universitario se anime a ayudarte (de hecho, lo ideal es que todos los universitarios intentarais ayudaros los unos a los otros).
Hola amigos de unicoos estoy haciendo ejercicios de grupos, anillos y no puedo resolver este. Me podrían dar un consejo para resolver![]()
Me encantaría ayudarte, pero no respondo dudas universitarias que no tengan que ver específicamente con los videos que ya he grabado como excepcion. O de otras asignaturas que no sean matemáticas, física y química. Lo siento de corazón… Espero lo entiendas
Ojalá algun unicoo universitario se anime a ayudarte (de hecho lo ideal es que todos los universitarios intentarais ayudaros los unos a los otros)
¿Alguien me podría decir algún método que no sea a ojo para determinar cuál de las dos bisectrices que obtengo de uno de los ángulos de un triángulo es la que pasa por dentro del triángulo?

Por ejemplo, en este ejercicio. Dado el triángulo de vértices A(-4,7), B(-4-5) y C(5,7), calcula las bisectrices de sus ángulos.
Las ecuaciones de los lados son r:x+4=0, s:y-7=0 y t:4x-3y+1=0. Si aplico la definición de bisectriz para las rectas r y s, siendo X un punto de esta, dist(X,r)=dist(X,s).
Al desarrollar esto obtenemos |x+4|=|y-7|. Si "deshacemos" el valor absoluto, nos quedan dos ecuaciones.
1) x+4=y-7 -> x-y+11=0
2)-x-4=y-7 -> x+y+3=0
La cosa es, ¿cómo se cuál de estas dos bisectrices es la que pasa por el interior del triángulo? Sin dibujarlo, me refiero. Muchas gracias.

Vamos con una orientación, que puede serte útil si has visto en clase a las ecuaciones cartesianas paramétricas de una recta.
Para la bisectriz correspondiente al vértice A, puedes plantear los vectores directores de las rectas r y s, y observa que su suma des sus vectores directores unitarios (o normalizados) es un vector director de la recta bisectriz correspondiente:
a) para la recta r, puedes considerar los vértices A y B, y su vector director queda
ur = AB = <-4-(-4),-5-7> = <0,-12>, cuyo módulo es: |ur| = 12, y el vector normalizado es:
Ur = ur/|ur| = <0/12,-12/12> = <0,-1>;
b) para la recta t, puedes considerar los vértices A y C, y su vector director queda:
us = AC = <5-(-4),7-7> = <9,0>, cuyo módulo es: |us| = 9, y el vector normalizado es:
Us = us/|us| = <9/9,0/9> = <1,0>;
luego, el vector director de la bisectriz que pasa por el vértice A es:
vA = Ur + Us = <0,-1> + <1,0> = <1,-1>;
luego, con el vector director y el punto A puedes plantear las ecuaciones cartesianas paramétricas:
x = - 4 + 1*t
y = 7 - 1*t,
con t ∈ R,
y observa que si sumas términos miembro a miembro queda:
x + y = 3, que es una ecuación equivalente a la segunda que señalas en tu desarrollo (en la que has equivocado el signo del término constante).
Observa que si procedes en esta forma, no tienes ambigüedad para determinar una ecuación cartesiana para la recta bisectriz correspondiente a uno de los vértices de un triángulo.
Y observa también que la primera ecuación de tu desarrollo corresponde a una recta perpendicular a la bisectriz, que también pasa por el vértice A.
En forma similar, puedes proceder para determinar ecuaciones cartesianas para las rectas bisectrices correspondientes a los otros dos vértices del triángulo.
Espero haberte ayudado.