
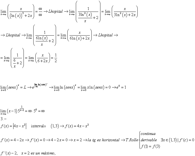
Observa que tienes la expresion de la función costo en dos trozos, y que el valor de corte es x = 10, por lo que planteas la definición de continuidad, y tienes:
1°)
f(10) = 5*10 = 50;
2°)
Lím(x→10-) f(x) = Lím(x→10-) 5*x = 5*10 = 50,
Lím(x→10+) f(x) = Lím(x→10+) √(a*x2 + 500) = √(a*102 + 500) = √(a*100 + 500) = √(100*a + 500),
y como los límites laterales deben ser iguales, puedes plantear la ecuación:
√(100*a + 500) = 50, y de aquí despejas: a = 20;
3°)
observa que para el valor remarcado tienes que la función es continua en x = 10, y que su expresión es:
f(x) =
5*x 0 ≤ x ≤ 10,
√(20*x2 + 500) x > 10.
Luego, planteas la expresión del costo por unidad, y queda:
Cu(x) = C(x)/x =
5*x/x 0 ≤ x ≤ 10,
√(20*x2 + 500)/x x > 10,
simplificas la expresión del primer trozo, y queda:
Cu(x) = C(x)/x =
5 0 ≤ x ≤ 10,
√(20*x2 + 500)/x x > 10;
luego, planteas el límite para x tendiendo a infinito de la función costo por unidad, y queda:
Lím(x→+∞) Cu(x) = sustituyes la expresión del segundo trozo, y queda:
= Lím(x→+∞) √(20*x2 + 500)/x = extraes factor común en el argumento de la raíz cuadrada, y queda:
= Lím(x→+∞) √( x2*(20 - 500/x2) )/x = distribuyes la raíz cuadrada, simplificas, y queda:
= Lím(x→+∞) |x|*√(20 - 500/x2)/x = resuelves el valor absoluto (observa que x toma valores positivos), y queda:
= Lím(x→+∞) x*√(20 - 500/x2)/x = simplificas, y queda:
= Lím(x→+∞) √(20 - 500/x2) = resuelves:
= √(20) ≅ 4,472.
Espero haberte ayudado.

se trata de que DESPUES DE IR A CLASE (ver los vídeos relacionados con
vuestras dudas) enviéis dudas concretas, muy concretas. Y que nos enviéis
también todo aquello que hayais conseguido hacer por vosotros mismos. Paso a
paso, esté bien o mal. No solo el enunciado. De esa manera podremos saber
vuestro nivel, en que podemos ayudaros, cuales son vuestros fallos.... Y el
trabajo duro será el vuestro. Nos cuentas ¿ok? #nosvemosenclase ;-)

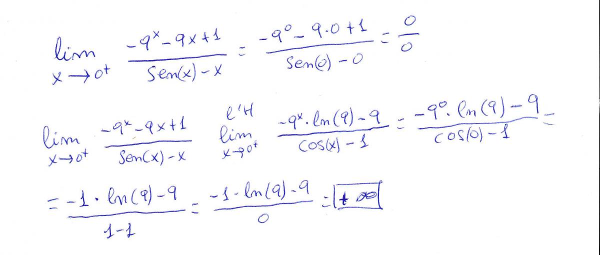
Tienes la expresión de la función:
f(x) = (x + 2)/(ex - 1),
y observa que su dominio es:
D = (-∞,0) ∪ (0,+∞) = R - {0}.
Luego, plantea los límites:
a)
Lím(x→-∞) f(x) = Lím(x→-∞) (x + 2)/(ex - 1) = +∞,
ya que el numerador tiende a -infinito y el denominador tiende a -1,
por lo que tienes que la gráfica de la función no presenta asíntota horizontal izquierda;
b)
Lím(x→+∞) f(x) = Lím(x→+∞) (x + 2)/(ex - 1) =
observa que el numerador tiende a +infinito y que el denominador tiende a +∞, por lo que aplicas la Regla de L'Hôpital, y queda:
= Lím(x→+∞) 1/ex = 0,
ya que el numerador es igual a uno y el denominador tiende a +infinito,
por lo que tienes que la gráfica de la función sí presenta asíntota horizontal derecha, cuya ecuación es: y = 0;
c)
Lím(x→0-) f(x) = Lím(x→0-) (x + 2)/(ex - 1) = -∞,
ya que el numerador tiende a 2 y el denominador tiende a cero desde valores negativos,
por lo que tienes que la gráfica de la función presenta asíntota vertical inferior, cuya ecuación es: x = 0,
y observa que en este caso la gráfica de la función se acerca a la asíntota desde la izquierda;
d)
Lím(x→0+) f(x) = Lím(x→0+) (x + 2)/(ex - 1) = +∞,
ya que el numerador tiende a 2 y el denominador tiende a cero desde valores positivos,
por lo que tienes que la gráfica de la función presenta asíntota vertical superior, cuya ecuación es: x = 0,
y observa que en este caso la gráfica de la función se acerca a la asíntota desde la derecha.
Queda que pruebes que la gráfica de la función no presenta asíntota oblicua izquierda (te dejo la tarea).
Espero haberte ayudado.

se trata de que DESPUES DE IR A CLASE (ver los vídeos relacionados con
vuestras dudas) enviéis dudas concretas, muy concretas. Y que nos enviéis
también todo aquello que hayais conseguido hacer por vosotros mismos. Paso a
paso, esté bien o mal. No solo el enunciado. De esa manera podremos saber
vuestro nivel, en que podemos ayudaros, cuales son vuestros fallos.... Y el
trabajo duro será el vuestro. Nos cuentas ¿ok? #nosvemosenclase ;-)