Foro de preguntas y respuestas de Matemáticas

logo beUnicoos
Los foros de unicoos se han unificado en nuestra nueva plataforma beUnicoos. Para dejar nuevas preguntas deberás hacerlo allí, donde además podrás encontrar nuevas asignaturas y herramientas para ayudarte más con tus estudios.

  • icon

    Dm2000
    el 7/11/19


    replythumb_up0 voto/sflag
    icon

    César
    el 7/11/19


    thumb_up0 voto/sflag
  • icon

    Antonio Omg
    el 7/11/19

    es cierto que las funciones polinomicas de primer grado pueden tener asintotota oblicua??

    replythumb_up0 voto/sflag
    icon

    César
    el 7/11/19

    las de primere grado son rectas, no tienen asintotas.


    thumb_up0 voto/sflag
  • icon

    Alain Andres Muñoz
    el 6/11/19

    Podéis confirmarme los siguientes radicales si son semejantes o distintos? gracias

    3√5 no es lo mismo que ( 3√5)2

    3√√7 sí es lo mismo que 5√7

    replythumb_up0 voto/sflag
    icon

    Uriel Dominguez
    el 7/11/19

    La primera es mentira, ambas son iguales. 

    La segunda es falsa, ya que lo del lado izquierdo es más pequeño que lo del lado derecho, el resultado.

    thumb_up1 voto/sflag
    icon

    Alain Andres Muñoz
    el 9/11/19

    pero en la ultima lo que se tiene que hacer es sumar los indices de la raíces y te da igual que el de la derecha


    thumb_up0 voto/sflag
    icon

    Uriel Dominguez
    el 9/11/19

    No, no da lo mismo.... 

    thumb_up1 voto/sflag
  • icon

    Bryam Maldonado
    el 6/11/19

    Me podrian ayudar con este ejercicio por favor 


    replythumb_up0 voto/sflag
    icon

    Antonius Benedictus
    el 7/11/19


    thumb_up0 voto/sflag
    icon

    Antonius Benedictus
    el 7/11/19


    thumb_up0 voto/sflag
  • icon

    Alain Andres Muñoz
    el 6/11/19

    Hola buenas, podrían corregirme este ejercicio de productos? gracias

    1. Realiza los siguientes produtos:

    A) √3 * √6= 12

    B) ∛12 * ∛10= ∛120

    C) √3 * ∛2= 6√33 * 6√22 = 622 * 33 

    D) 4√5 * 6√3= 12√53 * 12√32 = 1232 * 53 

    Espero que me contestéis por dudas para mi examen de mañana. Gracias de nuevo.


    replythumb_up0 voto/sflag
    icon

    Jose Ramos
    el 6/11/19

    Está bien salvo el A)  √3 * √6= 18     :)

    thumb_up1 voto/sflag
  • icon

    Maria
    el 6/11/19

    Buenas noches alguien me podría decir cuál es la manera mas sencilla de resolver este problema? ( El apartado A) Gracias


    replythumb_up0 voto/sflag
    icon

    Jose Ramos
    el 6/11/19

    det(B2) = det(16.I) = 163.det(I) = 163 = 212.

    det(B2) = (det(B))2

    (det(B))2=212,    det(B) = √212 = 26    =  64.

    thumb_up0 voto/sflag
  • icon

    JUAN
    el 6/11/19

    Buenas tardes: Me podrías explicar como realizar el teorema de Darboux con ejemplo? Gracias

    replythumb_up0 voto/sflag
    icon

    Antonius Benedictus
    el 6/11/19


    thumb_up0 voto/sflag
  • icon

    Itziar Martinez De Albeniz
    el 6/11/19

    estos son los sistemas


    replythumb_up0 voto/sflag
    icon

    César
    el 6/11/19


    thumb_up0 voto/sflag
  • icon

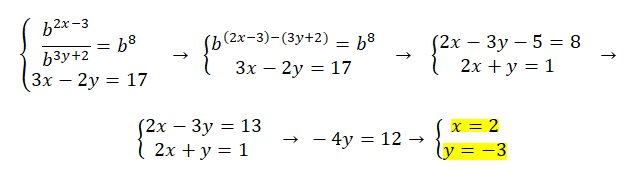
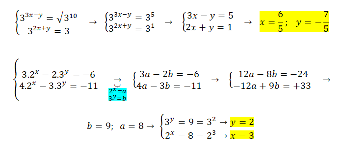
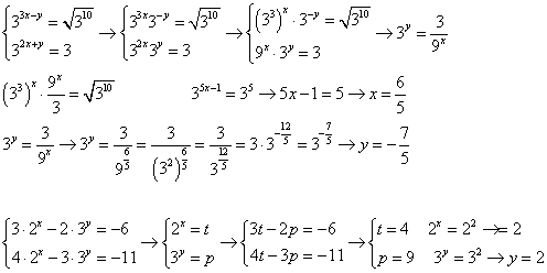
    Itziar Martinez De Albeniz
    el 6/11/19

    alguien me puede ayudar con esos sistemas de ecuaciones?

    m lo podeis resolver para ver yo si es que los tengo bien o los entiendo como se hacen?


    replythumb_up0 voto/sflag
    icon

    Jose Ramos
    el 6/11/19


    thumb_up0 voto/sflag
    icon

    Jose Ramos
    el 6/11/19


    thumb_up0 voto/sflag
    icon

    Itziar Martinez De Albeniz
    el 6/11/19

    el ultimo sistema esta bien?????por lo demas muchisimas gracias.

    thumb_up0 voto/sflag
  • icon

    KaliI
    el 6/11/19

    Buenas alguien me puede encontrar el termino de segundo orden, no entiendo muy bien como seguir.

    La pregunta 5 solo me pedía el enunciado del primer TFC



    replythumb_up0 voto/sflag
    icon

    Jose Ramos
    el 6/11/19


    thumb_up0 voto/sflag