Foro de preguntas y respuestas de Matemáticas

logo beUnicoos
Los foros de unicoos se han unificado en nuestra nueva plataforma beUnicoos. Para dejar nuevas preguntas deberás hacerlo allí, donde además podrás encontrar nuevas asignaturas y herramientas para ayudarte más con tus estudios.

  • icon

    Maria del castillo
    el 2/8/17

    Hola! Me gustaría que me corrigieseis este ejercicio

    replythumb_up0 voto/sflag
    icon

    Ángel
    el 2/8/17

    El a) lo veo bien.

    El b) creo que siguiendo la fórmula que has puesto, quedaría:

    V= π 10 [2x-(x/2)]2 dx = π 10 [(3x)/2]2 dx = π 10 [(9x2)/22)]dx =  π* 10 [(9x2)/4)]dx = π*9/4* 10 x2dx  = π*9/4*(13-03) =  = (9π)/4 u3


    thumb_up0 voto/sflag
  • icon

    Victor
    el 2/8/17

    Duda para Antonio Benito, acaban de plantear una duda con la siguiente identidad 1-4sen^4x-2sen^2x × cos2x=cos2x y has demostrado la igualdad transformando términos correctamente. 

      Yo lo he intentado resolver pero como ecuación trigonométrica


    y creo que en algo me habré confundido porque las dos soluciones no pueden ser ciertas a la vez no? Es decir según mi solución la igualdad sólo es cierta para unos determinados valores de x y según su solución la igualdad es cierta para cualquier valor de x.

    replythumb_up0 voto/sflag
    icon

    César
    el 2/8/17


    thumb_up1 voto/sflag
    icon

    Ángel
    el 2/8/17

    Identidad trigonométrica: Se verifica en todos los valores de 

    Ecuación trigonométrica: No se verifica en todos los valores de 

    Sólo hay una manera de verificar una identidad: que se cumplan todos los valores de 

    Si tu solución fuera correcta (que no lo es) habría que decir que la identidad es falsa, es más: lo correcto sería apuntar también que es una ecuación que se cumple en ciertos valores.


    La solución de Antonio lleva a la conclusión de que es SI una identidad (en su definición lleva implícita que es verdadera)

    Tu solución te llevaría a que es una ecuación trigonométrica (falsa para algunos valores) y entonces NO sería una identidad

    Por lo tanto:

    Las dos soluciones no pueden ser ciertas a la vez, pues sería del todo contradictorio/absurdo.


    thumb_up1 voto/sflag
  • icon

    Marta Ferreira
    el 2/8/17

    me pueden ayudar con este ejercicio lo he estado haciendo y no me sale 

    replythumb_up0 voto/sflag
    icon

    Guillem De La Calle Vicente
    el 2/8/17


    thumb_up0 voto/sflag
    icon

    Guillem De La Calle Vicente
    el 2/8/17


    thumb_up0 voto/sflag
    icon

    César
    el 2/8/17


    thumb_up1 voto/sflag
  • icon

    Gonzalo Blanc
    el 2/8/17

    Hola me pueden dar una mano con este ejercicio 


    replythumb_up0 voto/sflag
    icon

    Antonius Benedictus
    el 2/8/17

    Por ser polinómica de tercer grado, el dominio es toda la recta real y el recorrido también.

    thumb_up1 voto/sflag
  • icon

    Maria del castillo
    el 2/8/17



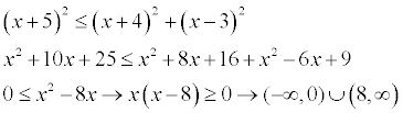
    Buenas, ¿podrían ayudarme con este ejercicio, por favor?



    replythumb_up0 voto/sflag
    icon

    Antonius Benedictus
    el 2/8/17


    thumb_up0 voto/sflag
  • icon

    Marta Ferreira
    el 2/8/17

    Me ayudan con este ejercicio por favor?


    replythumb_up0 voto/sflag
    icon

    Antonius Benedictus
    el 2/8/17

  • icon

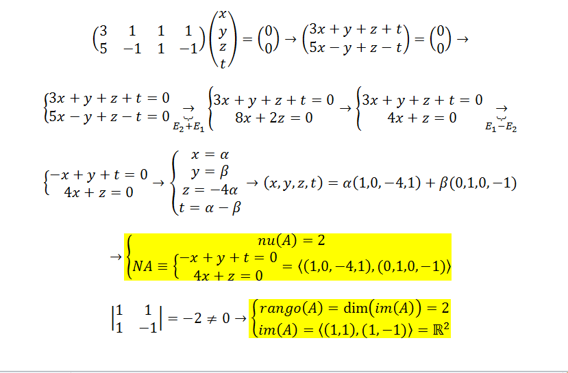
    Carlos Sanchez
    el 2/8/17

    Alguien me podría ayudar con este ejercicio por favor

    (a) Una base para NA (espacio nulo de la matriz A).

    (b) La nulidad de la matriz A.

    (c) La imagen de A.

    (d) El rango de A.

    replythumb_up0 voto/sflag
    icon

    Antonius Benedictus
    el 2/8/17


    thumb_up0 voto/sflag
  • icon

    Diego
    el 2/8/17

    1-4sen^4x-2sen^2x × cos2x=cos2x me ayudan con esta identidad

    replythumb_up0 voto/sflag
    icon

    Antonius Benedictus
    el 2/8/17


    thumb_up1 voto/sflag
  • icon

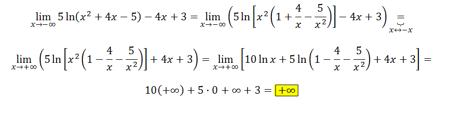
    Gonzalo
    el 2/8/17

    Me pueden ayudar en el procedimiento para el lim x --> -inf de 5(ln(x^2+4x-5))-4x+3

    gracias

    replythumb_up0 voto/sflag
    icon

    Antonius Benedictus
    el 2/8/17


    thumb_up0 voto/sflag
  • icon

    Guillem De La Calle Vicente
    el 2/8/17

    Describa las regiones definidas por las parejas de inecuaciones siguientes.

    1. x²+y²>1, x²+y²<4

    2. x²+y²≤4, (x+2)²+y²≤4

    replythumb_up0 voto/sflag
    icon

    Ángel
    el 2/8/17

    El enunciado se puede interpretar de 3 maneras diferentes, así que concreta un poco más:

    ¿Las regiones correspondientes a 1. y 2. cómo se definen: ¿con la intersección o la unión de parejas?

    ¿O por separado? (dos regiones en cada pareja)

    thumb_up0 voto/sflag
    icon

    Guillem De La Calle Vicente
    el 2/8/17

    El enunciado es este. Yo lo interpreto como un sistema de inecuaciones con las parejas de inecuaciones y, por tanto, como la intersección de parejas.

    thumb_up0 voto/sflag
    icon

    Ángel
    el 2/8/17

    x²+y²>1, x²+y²<4  =  x²+y²>1      x²+y²<22

    La región de que queda fuera del círculo (y de su propia circunscripción) de radio 1 con origen (0,0), excluyendo  de ésta el área que queda fuera del círculo de radio 2 con origen (0,0) y su área de trazado (queda como un donuts de anchura la unidad, sin incluir los bordes)


    x²+y²≤4, (x+2)²+y²≤4    ------->   (x-0)²+(y-0) ²≤  22   ∩   [x-(-2)]+(y-0) ≤ 22

    La región de ℛ que está dentro del círculo (y de su propia circunscripción) de radio 2 con origen (0,0),  que coincide con el área que está dentro y en el trazado del círculo de radio 2 con origen (-2,0) 

    (la región comprendida por esas inecuaciones la tienes marcada con cuadros negros)


    thumb_up0 voto/sflag