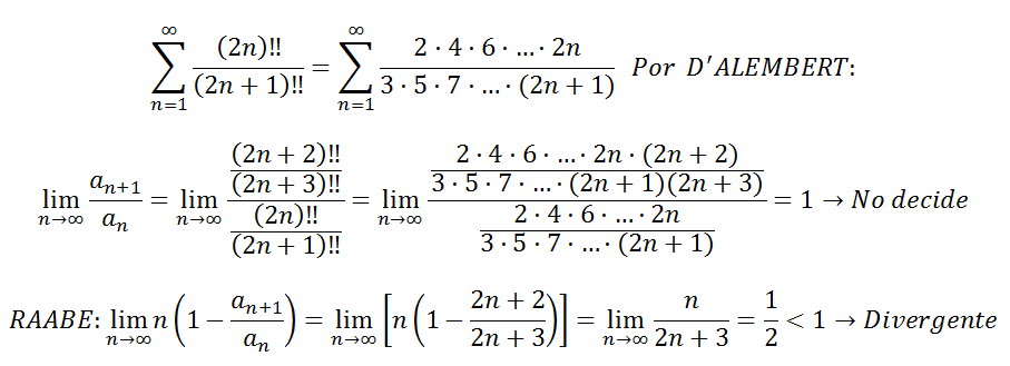
entre Rosa y Beatriz tienen 164 discos compactos. Si rosa le diera a Beatriz 3 discos, entonces rosa tendría el triple que Beatriz ¿Cuántos discos tiene cada uno?
Dos Incógnitas.
Rosa: x
Beatríz: y
Sistema de ecuaciones.
Rosa y Beatriz tienen 164 discos compactos-------> x+y=164
Si rosa le diera a Beatriz 3 discos, entonces rosa tendría el triple que Beatriz------> x-3 = 3(y+3) ------> x-3=3y+9-> x-3 = 3(y+3) ------> x-3=3y+9 -----> x=3y+12
Solucionamos con método de sustitución:
Sustituimos x=3y+12 en x+y=164, obtenemos el valor de y: (3y+12)+y=164 --------> 4y=152 -----> y=38 discos=Beatríz
Como x+y=164 , y=38, entonces x+38=164 ------> x=126 discos=Rosa
**Date cuenta que "cuando Rosa le da 3 discos" a Rosa le tienes que restar 3 discos y a Beatríz le tienes que sumar 3
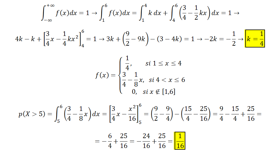
la diagonal de un rectángulo mide 2 cm más que uno de 2 lados. Calcula las dimensiones del rectángulo sabiendo que su perímetro es de 14 cm
Manda una foto del enunciado original, tal como está escrito no tiene solución.
Si consideras este enunciado: "un lado de un rectángulo mide 2 cm más que alguno de los otros 2 lados. Calcula las dimensiones del rectángulo sabiendo que su perímetro es de 14 cm
Datos.
Lado1=x
Lado2=x+2
Perímetro=14
Perímetro= 2*Lado1 + 2*Lado2
14= 2*(x) + 2*(x+2)
14= 2x + (2x+4)
14= 4x+4
14-4= 4x
10 = 4x
10/4 = x
x= 2.5cm
Entonces:
Lado1=x= 2.5cm
Lado2=x+2= 2.5+2= 4.5cm
Solución: El rectángulo tiene 2 lados iguales de 2.5 cm y 2 lados iguales de 4.5cm
Sea la parábola y=x^2. Sea C un circunferencia que pasa por los puntos A(0,0), B(-1,1), C(x,x^2). Determinar para qué valores de x>0 parábola y circunferencia se intersecan en tres y sólo tres puntos.

¡Hola! Nos encantaría ayudarte, pero no solemos responder dudas universitarias que no tengan que ver específicamente con los vídeos que David ha grabado como excepción. O de otras asignaturas que no sean Matemáticas, Física y Química. Lo sentimos de corazón… Esperamos que lo entiendas.
Ojalá algún unicoo universitario se anime a ayudarte (de hecho, lo ideal es que todos los universitarios intentarais ayudaros los unos a los otros).
Sea y=f(x) una función tal que para cada punto (x,y) de f queda dividido el rectángulo A(0,0), B(x,0), C(x,y), D(0,y) por la función en dos figuras cuyas áreas están en proporción 1/2. Determinar qué familia de funciones cumplen esta propiedad.

¡Hola! Nos encantaría ayudarte, pero no solemos responder dudas universitarias que no tengan que ver específicamente con los vídeos que David ha grabado como excepción. O de otras asignaturas que no sean Matemáticas, Física y Química. Lo sentimos de corazón… Esperamos que lo entiendas.
Ojalá algún unicoo universitario se anime a ayudarte (de hecho, lo ideal es que todos los universitarios intentarais ayudaros los unos a los otros).
limx→∞ (x2-5x+7)
Como lo puedo hacer, que me quede en blanco...

Vamos con el desarrollo que propone el colega Guillem.
Puedes comenzar por extraer factor común x2 en el argumento, simplificas factores en cada término del agrupamiento, y el límite queda:
Lím(x→∞) x2*(1 - 5/x + 7/x2) = +∞,
ya que el primer factor tiende a +infinito, y el segundo factor tiende a 1+0+0 = 1.
Espero haberte ayudado.
Describa las regiones definidas por las parejas de inecuaciones siguientes.
1. x²+y²<2x, x²+y²<2y
2. x²+y²-4x+2y>4, x+y>1
1.
x²+y²<2x ------> x2-2x+y2<0 ----transformamos a radio 1----> x2-2x+y2+1<1 -----acomodamos a la forma (x-a)2+(y-b)2<1
-----> (x2-2x+1)+(y-0)2<1 ----> (x-1)2+(y-0)2<1
x²+y²<2y -------> x2+y2-2y<0 ----transformamos a radio 1----> x2+y2-2y+1<1 -----acomodamos a la forma (x-a)2+(y-b)2<1
-----> (x-0)2+(y-2y+1)<1 ----> (x-0)2+(y-1)2<1
La región está definida de manera análoga al ejercicio que te respondí antes (casi idéntico a la segunda pareja, sólo que los orígenes de los círculos de radio 1 están situados en diferentes coordenadas del plano.
2.
x²+y²-4x+2y>4 -------> (x-2)2+[y-(-1)]2>32 --> Todo lo que queda fuera del círculo de radio 3 con centro (2,-1) , sin incluir el trazado de este
x+y>1 ---------> x+y=1 Es una línea recta que está definida en todo ℛ que va de -∞ a ∞ pasando por (0,1) y (1,0) . La región definida por la inecuación x+y>1es la que queda en la parte derecha de la línea recta (sin incluirla)