
no respondemos dudas universitarias que no tengan que ver específicamente con los videos que ya hay grabados como excepcion. O de otras asignaturas que no sean matemáticas, física y química. Lo siento de corazón… Espero lo entiendas
Ojalá algun unicoo universitario se anime a ayudarte (de hecho lo ideal es que todos los universitarios intentarais ayudaros los unos a los otros)
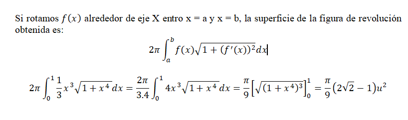
Como se hacen este tipo de ejercicios: Calcular el area de un cuerpo giratorio que se genera cuando giramos la función f(x)= 1/3 x3una vez sobre el eje X , entre x=0 y x=1

se trata de que DESPUES DE IR A CLASE (ver los vídeos relacionados con
vuestras dudas) enviéis dudas concretas, muy concretas. Y que nos enviéis
también todo aquello que hayais conseguido hacer por vosotros mismos. Paso a
paso, esté bien o mal. No solo el enunciado. De esa manera podremos saber
vuestro nivel, en que podemos ayudaros, cuales son vuestros fallos.... Y el
trabajo duro será el vuestro. Nos cuentas ¿ok? #nosvemosenclase ;-)