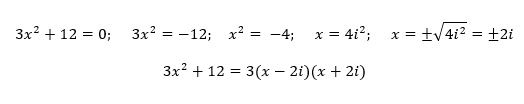
Hola como soluciono este cálculo de números complejos expresándole en a+bi. El ejercicio es 3+2i/1-4i. Para calcularlo habría que utilizar el conjugado de 1-4i pero a mí no me sale por favor alguien puede aclarármelo? La solución es -5/17+14i/17
hola com estan me pueden hacer el favor de ayudarme
El supermercado EL Porvenir maneja tres tipos de promociones de refrigerios para niños y cada uno de ellos está compuesto de la siguiente manera: Primera Promoción: 1 fruta, 1 bocadillo y 1 yogurt, Segunda Promoción: 2 frutas y 1 yogurt, Tercera Promoción: 3 frutas. Diariamente cuenta con 50 frutas, 45 bocadillos y 70 Yogures. Teniendo en cuenta que las promociones se venden a $2000 pesos. ¿Cuántas promociones de cada tipo debe vender para generar mayor utilidad con los recursos disponibles? ¿Este ejercicio es maximización o de minimización?
Paso 1. Definir el modelo dual del problema original (primal) incluyendo: Tipo de ejercicio: si es de maximización o de minimización, función objetivo dual y restricciones duales.
Paso 2. Resolver y formular el ejercicio dual de forma manual en excel por el método simplex algebraico primal si el ejercicio es de maximización; o resolver y formular el ejercicio de forma manual por el método simplex algebraico dual si el ejercicio es de minimización. (Recuerde que en el método simplex algebraico dual la solución comienza siendo infactible y óptima, en comparación con el método simplex algebraico primal que comienza siendo factible, pero no óptima). Y responder las siguientes preguntas:
a) ¿Cuál es el resultado de Z y a que corresponde?
b) ¿Cuál es el resultado de cada variable X1, X2, X3, X4, etc. y a qué corresponde?
c) ¿Qué significa el termino: “Precio sombra”?
Paso 3. Resolver el ejercicio original (primal) con el complemento solver de excel, generar la tabla de informe de sensibilidad que arroja solver y resolver las siguientes preguntas:
a) ¿Cuál es el resultado de cada variable X1, X2, X3, X4, etc. y a qué corresponde??
b) ¿Cuál es el resultado de Z y a que corresponde?
c) Si el ejercicio es de maximización: ¿Cuánto se incrementa o se reduce la ganancia por cada unidad de recurso que se pudiera adquirir o suprimir?
d) Si el ejercicio es de minimización: ¿Cuánto se incrementa o se reduce el costo por cada unidad de recurso que se pudiera adquirir o suprimir?
e) ¿Cuáles son los rangos en los cuales los coeficientes de la función objetivo pueden cambiar para que la solución óptima se mantenga?
¿Cuáles son los rangos en los cuales pueden adquirirse o reducirse recursos disponibles?
a) Extraer la tabla final óptima
b) Identificar el vector de términos independientes (disponibilidad o requerimiento de recursos), calcular el rango en el que se puede modificar dicho vector sin afectar el resultado óptimo, es decir, sin afectar los valores finales de X1, X2, X3.
c) Identificar los coeficientes tecnológicos, hacer un cambio en un coeficiente tecnológico y calcular los resultados.
d) Identificar las variables, hacer la adición de una variable y calcular los resultados.

¡Hola! Nos encantaría ayudarte, pero no solemos responder dudas universitarias que no tengan que ver específicamente con los vídeos que David Calle ha grabado como excepción. O de otras asignaturas que no sean Matemáticas, Física y Química. Lo sentimos de corazón… Esperamos que lo entiendas.
Ojalá algún unicoo universitario se anime a ayudarte (de hecho, lo ideal es que todos los universitarios intentarais ayudaros los unos a los otros).
Hola! Necesito ayuda con el siguiente ejercicio:
El rendimiento en una determinada zona de dos variedades de trigo A y B tiene una distribución conjunta normal bidimensional de medias 1,2 y 1,5 t/ha y varianzas 0,09 y 0,49 (t/ha)2. El coeficiente de correlación es -0,4. Un agricultor sembró un total de 6 ha de la variedad A y 4 ha de la B. Calcular la probabilidad de que su cosecha total sea superior a 13,0 t.
Mañana tengo examen... Gracias!!

se trata de que DESPUES DE IR A CLASE (ver los vídeos relacionados con
vuestras dudas) enviéis dudas concretas, muy concretas. Y que nos enviéis
también todo aquello que hayais conseguido hacer por vosotros mismos. Paso a
paso, esté bien o mal. No solo el enunciado. De esa manera podremos saber
vuestro nivel, en que podemos ayudaros, cuales son vuestros fallos.... Y el
trabajo duro será el vuestro. Nos cuentas ¿ok? #nosvemosenclase ;-)