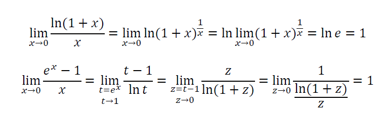
Cual es el limite cuando x tiende a cero de ((e^x)-1)/x?
Gracias!
como puedo demostrar que logxy. logyx =1 ??? sabiendo que X e Y son números reales positivos y diferentes

Plantea:
logx(y) = a (1),
aplicas la definición de logaritmo en base x, y queda:
y = xa,
luego tomas logaritmos en base y en ambos miembros y queda:
logy(y) = a*logy(x),
resuelves el primer miembro y queda:
1 = a*logy(x),
sustituyes la expresión señalada (1) y queda:
1 = logx(y)*logy(x).
Espero haberte ayudado.
como seria la derivada de:
x²+2x÷(x+1)Hola.
Me he quedado atascado en una pregunta:b) Nombre d’euros per canviar per x bitllets de 5 euros. Yo he hecho esto no se si esta bien 5x×x. Algien podria ayudarme ?
Gracias

Si tomamos como x el número de billetes de 5 euros, como 1 billete de 5 euros corresponde a 5 monedas de 1 euro, la expresión quedará así:
f (x) = 5x
Esto quiere decir que, cada billete (x), corresponderá a 5 monedas.
Ejemplos:
a) Con dos billetes:
f (x=2) = 5x = 5 · 2 = 10 monedas de 1 euro.
b) Con cinco billetes:
f (x=5) = 5x = 5 · 5 = 25 monedas de 1 euro.
alguien sabe porque no me aparece la opción de responder en los estados que ponga cualquier usuario?? tampoco puedo responder cuando alguien me contesta, aclaro que estuve un año sin venir mas o menos.