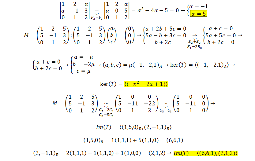
Puedes probar a hallar el subespacio del nucleo. Y lurgo el subespacio de la imagen es el subespacio ortogonal del de la imagen. El subespacio complemento ortogonal* No espera, el subespacio imagen ya lo tienes, es f(1,0,0)f(0,1,0)f(0,0,1). Por que no puedes sacar la proyeccion ortogonal a este subespacio? No lo entiendo
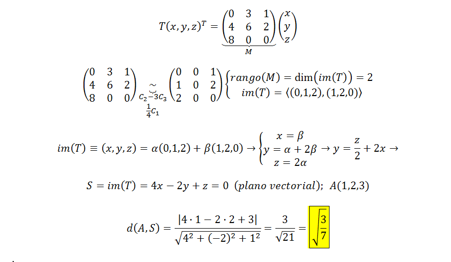
Hola, necesito que alguien me ayude a resolver este ejercicio, nose como se hace, llevo mucho rato trabada con esto y no consigo resolverlo, la flecha roja es el enunciado, la verde lo que yo he echo, y la azul la solucion que me dan para comprobar si lo tengo bien o no... Y como pueden ver lo tengo mal, solo necesito que me ayuden con el apartado a) y apartir de ahi supongo que sabre hacer el resto de apartos yo sola. Muchas gracias de antemano.
Averigua si la siguiente afirmación es cierta o no lo es. Demuestra si es cierta o da un contraejemplo si es falsa.
Una matriz diagonal conmuta con cualquiera otra matriz cuadrada del mismo orden.
Factoriza por completo las siguientes expresiones:
a) 9a2 - 16
b) 18y3x2 - 2xy4
c) -9x3 - 3x2+ 3x + 1
d) (x + 3)2 - 4

a)
Observa que tienes una resta de cuadrados perfectos:
9a2 - 16 = (3a)2 - 42 = factorizas = (3a + 4)*(3a - 4).
b)
Observa que puedes extraer factores comunes:
18y3x2 - 2xy4 = 2xy3*(9x- 1y) = 2xy3*(9x- y).
c)
Observa que puedes extraer factores comunes por grupos de dos términos:
- 9x3 - 3x2 + 3x + 1 = factorizas por grupos = - 3x2*(3x + 1) + 1*(3x + 1) = extraes factor común = (- 3x2 + 1)*(3x + 1).
d)
Observa que tienes una resta de cuadrados perfectos:
(x + 3)2 - 4 = (x + 3)2 - 22 = factorizas = (x + 3 + 2)*(x + 3 - 2) = reduces términos numéricos = (x + 5)*(x + 1).
Te recomiendo mires los vídeos sobre factorización de polinomios aquí en Unicoos.
Espero haberte ayudado.
Averigua si la siguiente afirmación es cierta o no lo es. Demuestra si es cierta o da un contraejemplo si es falsa.
Dos matrices triangulares inferiores del mismo orden siempre conmutan.