hola alguien me puede ayudar en este ejercicio y su planteamiento . gracias
se tiene dos almacenes A1 y A2. el almacen A1 posee 14 motores M1 y 10 motores M2 Y el almacen A2 contiene 4 motores M1 y 5 motores M2 . si se pasan 3 motores al azar de A1 a A2
se pide:
a) probabilidad de extraer 2 motores de M1 y 1 M2
b)sabiendo que se extrajeron 2 motores M1 y 1 M2 de A2 ¿ cues es la probabilidad de haber extraido 3 motores M1 de A1.
Gracias un saludo

Puedes llamar R al radio de la semicircunferencia exterior, y tienes que el radio interior es 5 cm,
por lo que el área de la semicorona queda expresada:
(1/2)*π*R2 - (1/2)*π*52 = 12π, multiplicas en todos los términos de la ecuación por 2/π y queda:
R2 - 25 = 24, haces pasaje de término y queda:
R2 = 49, de donde tienes:
R = 7 cm.
Luego, observa que el contorno de la semicorona está formado por:
la semicircunferencia mayor, cuya longitud es: π*7 = 7π cm;
la semicircunferencia menor, cuya longitud es: π*5 = 5π cm;
dos segmentos cuya longitud es la diferencia entre los radios de las semicircunferencias: 7 - 5 = 2 cm;
luego, tienes todo lo necesario para calcular el perímetro de la semicorona circular:
P = 7π + 5π + 2 + 2 = 12π + 4 = 4(3π + 1) cm.
Espero haberte ayudado.
Se tienen dos ángulos suplementarios, tales que Φ=β, por lo tanto la medida en radianes de Φ es: a) π/8 b) π/6 c) π/4 d) π/2 e) π

Si los ángulos φ y β son suplementarios, tienes la ecuación:
φ + β = π (1).
Luego, tienes en el enunciado que los dos ángulos tienen medidas iguales, por lo tanto tienes:
φ = β (2).
Luego, sustituyes la expresión señalada (2) en la ecuación señalada (1) y queda:
β + β = π, reduces términos semejantes y queda:
2β = π, haces pasaje de factor como divisor y queda:
β = π/2, luego sustituyes en la ecuación señalada (2) y tienes: φ = π/2.
Luego, puedes concluir que la opción (d) es la respuesta correcta.
Espero haberte ayudado.
Un ingeniero civil desea delimitar un terreno rectangular y tiene 45 metros de cerca disponibles. Encuentra las dimensiones del terreno si el área delimitada debe ser al menos de 125 metros cuadrados.
Sistema:
(1) 2*Largo + 2*Ancho= 45 ----------> Perímetro
(2) Largo * Ancho = 125 --------------> Área
Despejamos el ancho por ejemplo de (1):
2*(Largo+ancho) = 45
Largo+ancho = 22.5
(3) Ancho= 22.5-Largo
Sustituimos (3) en (2):
Largo* (22.5-Largo)= 125
-Largo2+22.5Largo - 125 = 0
(4) Largo2-22.5Largo +125 = 0
Resolvemos (4) con la ecuación de segundo grado y obtenemos:
Largo1= 10metros
Largo2= 11.5metros
Sustituimos el Largo para hallar el ancho en (1):
2*Largo1 + 2*Ancho1= 45
20+2*Ancho1= 45
2*Ancho1= 25
Ancho1= 12.5
13 + 2*Ancho2= 45
2*Ancho2= 22
2*Ancho2= 25
Ancho2= 11.25
Respuestas:
1.* Si Largo=10 metros, ancho= 12.5 metros
2. * Si Largo=11.5 metros, ancho= 11.25 metros

Puedes llamar x al largo del rectángulo, e y a su altura, luego, considera que el perimetro del rectángulo es 45 m, y que su superficie debe ser de 125 m2 como mínimo:
Perímetro: 2x + 2y = 45, de donde puedes despejar: y = 22,5 - x (1);
Área: A(x,y) = x*y.
Luego sustituyes la expresión señalada (1) en la expresión de la función y queda:
A(x) = x*(22,5 - x) = 22,5*x - x2, luego, plantea la condición del enunciado:
A(x) ≥ 125, sustituyes en el primer miembro y queda:
22,5*x - x2 ≥ 125, haces pasaje de término, ordenas términos y queda:
- x2 + 22,5*x - 125 ≥ 0,
multiplicas por -1 en todos los términos de la inecuación (observa que cambia la desigualdad) y queda:
x2 - 22,5*x + 125 ≤ 0,
Luego, factorizas el primer miembro (observa que es un polinomio cuadrático) y queda:
(x - 10)*(x - 12,5) ≤ 0,
luego, tienes dos opciones:
a) x - 10 ≤ 0 y x - 12,5 ≥ 0, de donde tienes: x ≤ 10 y x ≥ 12,5, que no corresponde a una solución;
b) x - 10 ≥ 0 y x - 12,5 ≤ 0, de donde tienes: x ≥ 10 y x ≤ 12,5,
que no corresponde al intervalo solución:
10 ≤ x ≤ 12,5,
luego multiplicas por - 1 en los tres miembros de la doble inecuación (observa que cambian las desigualdades) y queda:
- 12,5 ≤ - x ≤ - 10, sumas 22,5 en los tres miembros de la doble inecuación y queda
10 ≤ y ≤ 12,5.
Observa que para los casos extremos tienes:
1) x = 10, y = 22,5 - 10 = 12,5, y el área queda: A = 10*12,5 = 125 m2;
2) x = 12,5, y = 22,5 - 12,5 = 10, y el área queda: A = 12,5*10 = 125 m2;
y observa que para un caso intermedio (como ejemplo) tienes:
3) x = 11, y = 22,5 - 11 = 11,5, y el área queda: A = 11*11,5 = 126,5 m2;
y para todos los valores de x intermedios tienes que el área es mayor que 125 m2.
Espero haberte ayudado.
Sistema:
(1) 2*Largo + 2*Ancho= 45 ----------> Perímetro
(2) Largo * Ancho = 125 --------------> Área
Despejamos el ancho por ejemplo de (1):
2*(Largo+ancho) = 45
Largo+ancho = 22.5
(3) Ancho= 22.5-Largo
Sustituimos (3) en (2):
Largo* (22.5-Largo)= 125
-Largo2+22.5Largo - 125 = 0
(4) Largo2-22.5Largo +125 = 0
Resolvemos (4) con la ecuación de segundo grado y obtenemos:
Largo1= 10metros
Largo2= 12.5metros
Sustituimos el Largo para hallar el ancho en (1):
2*Largo1 + 2*Ancho1= 45
20+2*Ancho1= 45
2*Ancho1= 25
Ancho1= 12.5
25+2*Ancho2= 45
2*Ancho2= 20
Ancho2= 10
Para que usándose los 45 metros sea de exactamente (igual a 125m^2):
1.* Si Largo=10 metros, ancho= 12.5 metros
2. * Si Largo=12.5 metros, ancho= 10 metros
Observa que cualquier valor comprendido entre 10 metros y 12.5 metros de largo y/o ancho hace que la superficie sea mayor que 125m2
((he rectificado un error de cálculo que tuve en la ecuación cuadrática))
También valdría de esa forma, y se solucionaría así:
Sistema:
(1) 2*Largo + 2*Ancho= 45 ----------> Perímetro
(2) Largo * Ancho = 125 --------------> Área
Despejamos el ancho por ejemplo de (2):
(3) Ancho = 125/Largo
Sustituimos (3) en (1):
2*Largo + 2*(125/Largo)= 125
Largo+ (125/Largo) = 62.5
Largo2+125 - 62.5Largo = 0
(4) Largo2-62.5Largo +125 = 0
Continúa tú.
**Es más fácil de la otra forma...la práctica te dirá que incógnita elegir para despejar (cuantos más ejercicios hagas, mayor será tu probabilidad de acierto)
De este ejercicio mi profesor me dijo que primero se hace la raíz y luego el porcentaje, pero no se porqué, me podrían ayudar?
Buenos días, por casualidad sabrían realizar este ejercicio?, no se por donde pillarlo. Muchas gracias de antemano
''Hallar las ecuaciones de todas las circunferencias que pasan por P(1,1) y son tangentes a OX y a OY.''

Vamos con una precisión con las ecuaciones de las circunferencias.
Para el centro C(c,c):
(x - c)2 + (y - c)2 = R2
Luego, como las circunferencias son tangentes a los dos ejes coordenados,
haz un gráfico tentativo y plantea:
R = │c│, luego sustituyes y la ecuación queda:
(x - c)2 + (y - c)2 = c2,
luego, como el punto P(1,1) pertenece a la circunferencia, reemplazas sus coordenadas y queda:
(1 - c)2 + (1 - c)2 = c2
luego, reduces términos semejantes y queda:
2(1 - c)2 = c2, luego desarrollas el primer miembro, haces pasaje de término y queda:
2 - 4c + 2c2 - c2 = 0, luego reduces términos semejantes, ordenas términos y queda:
c2 - 4c + 2 = 0, que es una ecuación polinómica cuadrática cuyas soluciones son:
1) c1 = ( 4 - √(8) )/2 = ( 2 - √(2) )/2,
2) c2 ) ( 4 + √(8) )/2 = ( 2 + √(2) )/2;
y solo queda que reemplaces los valores en la ecuación remarcada.
Para el centro C(c,-c), tienes que el radio cumple la misma condición anterior ( R = │c│) y la ecuación queda:
(x - c)2 + (y + c)2 = c2
Luego, como el punto P(1,1) pertenece a la circunferencia, reemplazas sus coordenadas y queda:
(1 - c)2 + (1 + c)2 = c2
Luego desarrollas los binomios elevados al cuadrado y queda:
1 - 2c + c2 + 1 + 2c + c2 = c2
Luego haces pasaje de término, reduces tèrminos semejantes (observa que tienes cancelaciones) y queda:
2 + c2 = 0, haces pasaje de término y queda:
c2 = - 2, que es una ecuación que no tiene solución real.
Por lo tanto, solo tienes dos circunferencias que son tangentes a los ejes coordenados y pasan por el punto P(1,1).
Espero haberte ayudado.
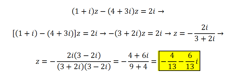
Hola 🙋 ¿como se resolvería esta ecuación de números complejos?
(1+i)z - (4+3i)z = 2i
Gracias por adelantado
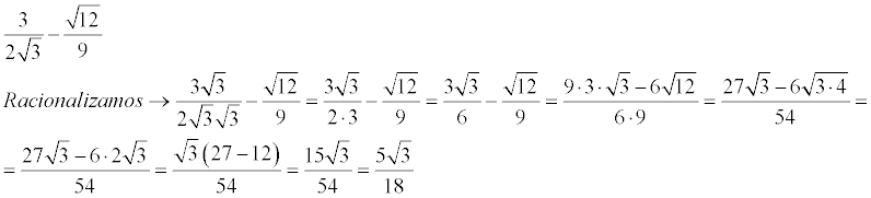
Hola, alguien me ayuda con esta operación? El enunciado dice: Simplifica al máximo las expresiones siguientes:
3/2√3 - √12/9
Explicármelo bien, pero hacerlo si puede ser en una libreta bien montada la expresión para entenderlo con claridad.
Hola,
en matrices, cuando se puede y cuando no permutar filas en operaciones elementales? (al hallar el rango, en factorizacion LU ... ? )
y otra cosa, qué es una mtariz reordenada que admita factorizacion LU? (permutar filas para que salga la factorizacion puede ser?
gracias!
Sí.
Creo que el único caso en que no se pueden permutar es cuando multiplicas la matriz por uno escalar, un vector u otra matriz...
Y el determinante... sí que puedes permutar, pero siempre que multipliques por el signo de la permutación.
Tampoco puedes permutar si es la matriz de un grafo.
O es la discretización de una función de dos variables a un entorno rectangular...