Foro de preguntas y respuestas de Matemáticas

logo beUnicoos
Los foros de unicoos se han unificado en nuestra nueva plataforma beUnicoos. Para dejar nuevas preguntas deberás hacerlo allí, donde además podrás encontrar nuevas asignaturas y herramientas para ayudarte más con tus estudios.

  • icon

    Manuel
    el 3/11/19

     La respuesta es 100 pero ami me da 110 ,alguien me podria explicar porque?,graciasss¡¡

    replythumb_up0 voto/sflag
    icon

    Breaking Vlad
    el 5/11/19

    Si AB es el lado de un hexágono regular inscrito en el círculo, el triángulo OAB es un triángulo equilátero, de modo que todos sus ángulos son 60º.

    Repasa tus cálculos sabiendo esto,

    un saludo,

    Vlad

    thumb_up0 voto/sflag
  • icon

    Jorge
    el 3/11/19


    replythumb_up0 voto/sflag
    icon

    Jose Ramos
    el 3/11/19

    Aquí veo un problema. Toda matriz de cambio de base es inversible, es decir que su determinante es no nulo. En este caso me están dando una matriz de cambio de base con determinante 0.

    thumb_up1 voto/sflag
    icon

    Antonius Benedictus
    el 3/11/19


    thumb_up1 voto/sflag
    icon

    Antonius Benedictus
    el 3/11/19

    Si interpretamos f^-1 (2,2,5) como el conjunto de (x,y,z)  tales que f(x,y,z)=(2,2,5):


    thumb_up1 voto/sflag
  • icon

    Ashet Lihynim
    el 3/11/19

    Buenos dias, quisiera saber cual seria el dominio y el rango de esta imagen

    replythumb_up0 voto/sflag
    icon

    Jose Ramos
    el 3/11/19

    La función g)    Dominio: (-∞, -5) ∪ (-5, -4)  [-3,1) ∪ {3}     Rango:  (-∞, -4]

    La función h)    Dominio: (-∞, -5) ∪ (-5,2) ∪ (2,+∞)     Rango: (-∞, -2) ∪ {-1} ∪ (0,6)


    thumb_up1 voto/sflag
  • icon

    Juan Romero Herraiz
    el 3/11/19


    replythumb_up0 voto/sflag
    icon

    Jose Ramos
    el 3/11/19

    Si lo que pretendes es calcular el m.c.m (24, 120 y 900), tienes mal la descomposicion factorial de 900, puesto que 900 = 22.32.52   Entonces el m.c.m buscado es: 23.32.52 = 1800

    thumb_up0 voto/sflag
  • icon

    Caio Medeiros
    el 3/11/19


    replythumb_up0 voto/sflag
    icon

    Antonius Benedictus
    el 5/11/19


    thumb_up0 voto/sflag
  • icon

    Manuel Tejedor suarez
    el 3/11/19

    no entiendo lo de extraer el mayor radical



    replythumb_up0 voto/sflag
    icon

    Jose Ramos
    el 3/11/19

    Vuelve a poner la imagen. No se ve

    thumb_up0 voto/sflag
  • icon

    Domingos
    el 3/11/19


    replythumb_up0 voto/sflag
    icon

    Jose Ramos
    el 3/11/19

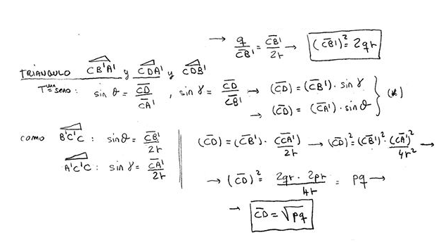
    Tan simple como esto:


    thumb_up0 voto/sflag
  • icon

    Domingos
    el 3/11/19

    ¿Cuál sería el Universo?

    replythumb_up0 voto/sflag
    icon

    Antonius Benedictus
    el 3/11/19

    Las 120 personas.

    thumb_up0 voto/sflag
    icon

    Jose Ramos
    el 3/11/19

    El universo son las 120 personas. Para hacer el diagrama tienes que partir de los usuarios de las tres redes sociales que es el dato que no te dan en el problema y es a lo que le llamamos x. A partir de ahí vas construyendo el diagrama como ves en el dibujo.


    thumb_up0 voto/sflag
    icon

    Domingos
    el 3/11/19

    ¿Entonces |FUTUI| sería igual al universo? Gracias

    thumb_up0 voto/sflag
    icon

    Jose Ramos
    el 3/11/19

    Si, porque del enunciado se desprende que todos usan por lo menos una red social y que no hay nadie que no use ninguna. Es el cardinal de la unión, en efecto

    thumb_up0 voto/sflag
  • icon

    Shirley
    el 3/11/19


    replythumb_up0 voto/sflag
    icon

    Jose Ramos
    el 3/11/19

    tan2x+tanx-2=0     tanx = 1,  tan x = -2.   Si tanx=1, cotx =1   entonces 2 cotx + tan2x = 3.   Si tan x = -2, cot x= -1/2   enton ces 2 cotx + tan2x = 3.    Solución:  3

    thumb_up0 voto/sflag
  • icon

    Shirley
    el 3/11/19


    replythumb_up0 voto/sflag
    icon

    Jose Ramos
    el 3/11/19


    thumb_up0 voto/sflag