
Observa que has empleado el Método de Gauss, por lo que tienes que las matrices que fuiste obteniendo son equivalentes por filas, y los sistemas de ecuaciones correspondientes son también equivalentes al sistema de ecuaciones original.
Es por este motivo que cuando piden resolver el sistema para a = 0, tienes que es más conveniente reemplazar este valor en la última matriz equivalente que has obtenido, ya que su sistema de ecuaciones correspondiente es mucho más sencillo de resolver que el sistema que obtienes si reemplazas dicho valor en el sistema original.
Espero haberte ayudado.
Hallar el area encerrada entre los graficos f(x)=4 y g (x)= 20x/x^2+4
quisiera saber si esta bien?desde ya gracias

tienes una cosilla mal en el resultado final. El proceso y todo lo demás lo tienes bien hecho. Este es el error:
Ln (20) - ln (5) = ln (4). porque Ln (20) - ln(5) = ln (20/5). Tú dices que ln (20) - ln (5) = ln 15. (Eso no es correcto)
El resultado final de tu integral es 10 ln(4) - 12

Planteaste la condición de intersección entre las gráficas, y te ha quedado la ecuación:
4*(x2+4) = 20*x, distribuyes el primer miembro, restas 20x en ambos miembros, y queda:
4*x2 - 20*x + 16 = 0, divides por 4 en todos los términos, y queda:
x2 - 5x + 4 = 0, que es una ecuación polinómica cuadrática, cuyas soluciones son: x = 1 y x = 4.
Luego, considera un valor intermedio, por ejemplo x = 2, evalúas para él las expresiones de las funciones, y queda:
f(2) = 4,
g(2) = 5,
por lo que tienes que la función g toma valores mayores o iguales que la función f en el intervalo cerrado [1,4].
Luego, planteas la expresión del área determinada por las gráficas de las dos funciones, y queda:
A = 1∫4 ( 20*x /(x2+4) - 4 )*dx,
integras (te dejo el planteo, y observa que indicamos con corchetes que debes evaluar con Regla de Barrow), y queda:
A = [ 10*ln(x2+4) - 4*x ],
evalúas, y queda:
A = ( 10*ln(42+4) - 4*4 ) - ( 10*ln(12+4) - 4*1),
resuelves términos en los agrupamientos, y queda:
A = ( 10*ln(20) - 16 ) - ( 10*ln(5) - 4 ),
distribuyes agrupamientos, reduces términos semejantes, extraes factor común entre los términos logarítmicos, y queda:
A = 10*( ln(20) - ln(5) ) - 12,
aplicas la propiedad del logaritmo de una división en el primer término, simplificas el argumento del logaritmo, y queda:
A = 10*ln(4) - 12,
haces el cálculo, y queda:
A ≅ 1,863.
Espero haberte ayudado.
Hola buenas, tengo el siguiente enunciado:
Calcular el area delimitada por las curvas y=x2 -2 y y= 6x - x2 . Lo he hecho siguiendo un video de unicoos, pero el video era con una recta y una curva, y aqui son dos curvas. Pueden ver si está bien? Muchas gracias!

Hola! Me encantaría ayudarte, pero no respondo dudas universitarias que no tengan que ver específicamente con los videos que ya he grabado como excepcion. O de otras asignaturas que no sean matemáticas, física y química. Lo siento de corazón… Espero lo entiendas
Ojalá algun unicoo universitario se anime a ayudarte (de hecho lo ideal es que todos los universitarios intentarais ayudaros los unos a los otros)
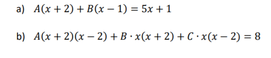
Hola, como puedo encontrar los valores de las constantes A y B en los dos ejercicios mediante comparando coeficientes?

Si das valores a x que anulan los paréntesis de la igualdad sale de inmediato: En el caso a) Si x = -2 tienes que -3B = -9, B = 3. Si x = 1, obtienes 3A = 6, A = 2.
Otra forma es poner los dos miembros en forma de polinomio completo e igualar coeficientes del mismo grado, con lo que tendrías que resolver el sistema de ecuaciones resultante:
En el ejemplo a) sería asi: (A+B)x + 2A -B = 5x +1 . Igualando coeficientes: A+B = 5; 2A - B = 1. Resuelves el sistema y te da A = 2 y B = 3.