Foro de preguntas y respuestas de Matemáticas

logo beUnicoos
Los foros de unicoos se han unificado en nuestra nueva plataforma beUnicoos. Para dejar nuevas preguntas deberás hacerlo allí, donde además podrás encontrar nuevas asignaturas y herramientas para ayudarte más con tus estudios.

  • icon

    Julio César López Rojas
    el 14/6/17

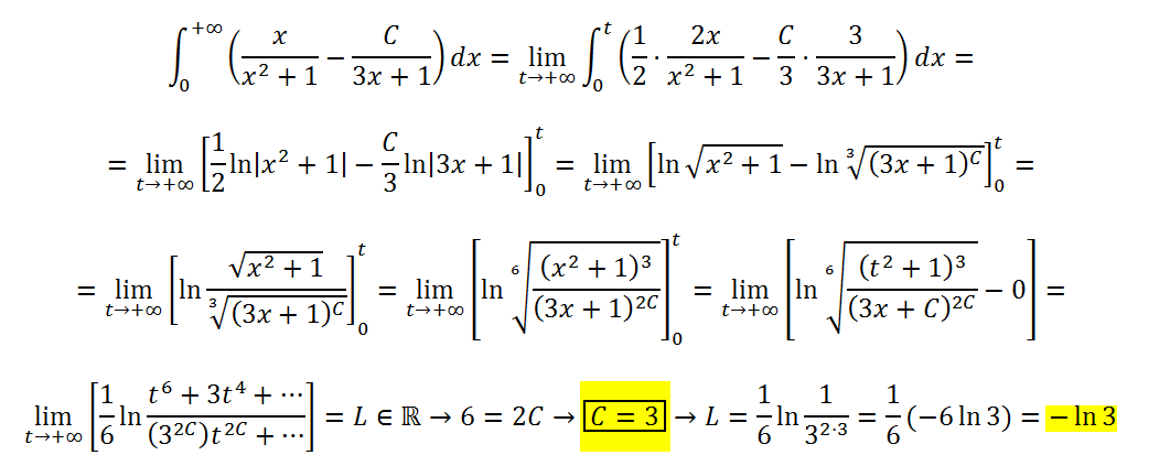
    Tengo un ejecicio de integrales impropias que salió en un examen donde preguntan hallar el valor de C para que la integral converga y luego calcular el límite con ese valor de C (No logro entender la última parte donde sale LN y la raíz cuadrada. Adjunto imagen. Sería bueno hacer un vídeo en youtube con la explicación para todos los unicoos


    Mil gracias David. Eres un crack partner!!!!

    replythumb_up0 voto/sflag
    icon

    César
    el 14/6/17

    A ver si asi lo ves mejor 

    thumb_up1 voto/sflag
    icon

    Antonius Benedictus
    el 14/6/17


    thumb_up1 voto/sflag
    icon

    Julio César López Rojas
    el 14/6/17

    Claaaaro asi sí, las dos integrales se pueden hacer por cambio de variable, ahora bien ¿Por qué la raíz cuadrada?


    Grande César!!!

    thumb_up0 voto/sflag
    icon

    Antonius Benedictus
    el 14/6/17

    Propiedades de los logaritmos:

    (1/2)logX=log(sqrt(X))

    thumb_up1 voto/sflag
    icon

    Julio César López Rojas
    el 14/6/17

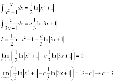
    Prof. Anotnio no veo el último paso de la 3ra línea en el denomidor colocó (3x+C) elevado a la 2C de donde sale la C si el paso antyerior era (3X+1) elevado a la 2C?

    thumb_up0 voto/sflag
    icon

    Julio César López Rojas
    el 15/6/17

    Hola César ¿me podrías explicar por favor en el segundo limite como llegas 3-c?


    Mil gracias

    thumb_up0 voto/sflag
  • icon

    molinatoor20
    el 14/6/17

    por favor alguien sabe?

    replythumb_up0 voto/sflag
    icon

    Antonius Benedictus
    el 14/6/17


    thumb_up1 voto/sflag
  • icon

    Ivanconstan
    el 14/6/17
    flag

    Hola a todos, me piden calcular la derivada f(x,y,z)=xy+z   en el punto (1,-1,0)  segun el vector (1,2,3) ¿Me podeis echar una mano?

    Gracias

    replythumb_up0 voto/sflag
    icon

    Antonius Benedictus
    el 14/6/17


    thumb_up0 voto/sflag
  • icon

    Ivan Gijon Arruabarrena
    el 14/6/17
    flag

    ¿Alguien me puede ayudar hacer esta integral doble raiz cuadrada de x^2 + y^ 2 en la region limitada x^2+y^2= 4  ,   x^2 + y^2 = 9. ?

    Gracias

    replythumb_up0 voto/sflag
    icon

    Antonius Benedictus
    el 14/6/17


    thumb_up0 voto/sflag
  • icon

    Alejandro Ballesteros
    el 14/6/17

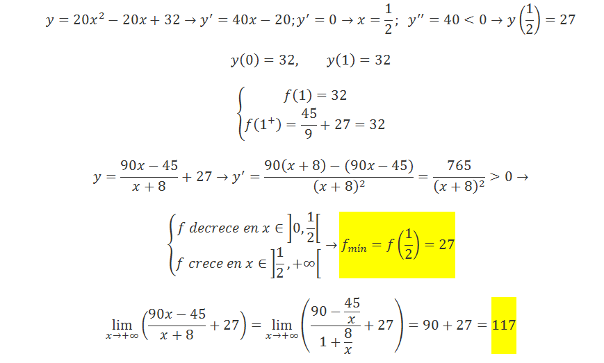
    Hola pueden simplemente hacer el c) del ejercicio 2? A mi me quedaba 117 miles de euros, creo que lo tengo bien 

    replythumb_up0 voto/sflag
    icon

    Antonius Benedictus
    el 14/6/17


    thumb_up0 voto/sflag
  • Usuario eliminado
    el 14/6/17

    Alguien me ayuda con esta ecuacion matricial?? 2X+C=A-XB     Te dan las matrices A, B Y C y se debe despejar X

    replythumb_up0 voto/sflag
    icon

    Antonius Benedictus
    el 14/6/17


    thumb_up1 voto/sflag
  • icon

    molinatoor20
    el 14/6/17

    como se hace esto?


    replythumb_up0 voto/sflag
    icon

    Daniel
    el 14/6/17

    flag

    thumb_up1 voto/sflag
  • icon

    Daniel
    el 14/6/17

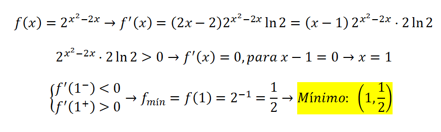
    Averigua los máximos y mínimos de la función: 

    replythumb_up1 voto/sflag
    icon

    molinatoor20
    el 14/6/17

    espero que te sirva  te mandado un pdf por chat

    thumb_up0 voto/sflag
    icon

    Antonius Benedictus
    el 14/6/17


    thumb_up0 voto/sflag
  • icon

    Daniel
    el 14/6/17

    Como se puede bajar el "x2 -2x" de la función 

    replythumb_up0 voto/sflag
    icon

    Álvaro
    el 14/6/17

    ¿En teoría que quieres hacer?

    thumb_up0 voto/sflag
    icon

    Antonius Benedictus
    el 14/6/17

    Sube foto del enunciado original, Daniel.

    thumb_up0 voto/sflag
  • icon

    Álvaro
    el 14/6/17
    flag

    También quiero que suba vídeos de ecuaciones de todo tipo

    replythumb_up0 voto/sflag
    icon

    David
    el 19/6/17

    Tienes decenas de videos de ecuaciones... Si no eres más concreto, no podemos adivinar que necesitas. Un abrazo

    thumb_up0 voto/sflag