David ¿puedes subir un video de ecuaciones complejas y suma y resta de complejos con exponentes? ¿también quiero el de las bases ortonormales?

De complejos, de nivel preuniversitario ya tienes varios vídeos. No puedo ayudarte mas alla por ahora, lo siento.
Te dejo un link. Números complejos
Este es un problema de distancias de rectas que creo he resuelto correctamente.
Pero estos ejercicios tipo test no tengo las respuestas y la opcion de ninguna de las anteriores nunca me da buena espina.
Alguien que me corrobore que la distancia es la remarcada en rojo?
Antes de nada agredecer a todos los que dedicais vuestro tiempo en contestar todas nuestras dudas. Es de admirar.
Luego a ver, el ejercicio 62, la forma que tiene de preguntarme acerca de la tangente ha hecho que me atasque y no consiga resolverlo.
En el 63 creo que he sabido resolverlo y la respuesta correcta es la a, pero os he mandado el ejercicio resuelto por si le podeis echar un ojo.
Un saludo!
No tengo la solucion de este ejercicio y no las tengo todas conmigo.
Segun lo he hecho tiene dos puntos donde estudiar los limites. En x= -1 En la que los limites laterales coinciden y tambien con la imagen en ese punto por lo que es continua.
y en x= 1 en la que sale 2 / 0 y es infinito por lo que es una discontinuidad de salto infinito o de segunda especie.
Alguien que me lo corrobore?
Gracias!

Hola Antonio. No entiendo la solucion propuesta.
Por un lado, cuando x vale -1, el límite coge un valor numero tanto por la izquierda como por la derecha, y a su vez coincide con la imagen de ese numero en la funcion por lo que segun la teoria seria continua en ese punto.
Por otro lado cuando x vale +1 los limites laterales no coinciden y son infinitos por lo que el resultado seria discontinuidad de salto Infinito o de segunda especie.
No es asi?
Gracias por su tiempo de todos modos.

En x=-1 se puede hacer el límite global, que existe. Como la función no existe, hsay discontinuidad evitable.
En x=1, la discontinuidad es de 1ª especie infinita, pues los límites laterales existen y alen infinito.
La discontinuidad de 2ª especie se da cuando alguno (o ambos ) límite laterales no existen (ni finitos ni infinito). aunque en esto hay discrepancias en la nomenclatura según los textos que se utilicen. pero es un asunto baladí.
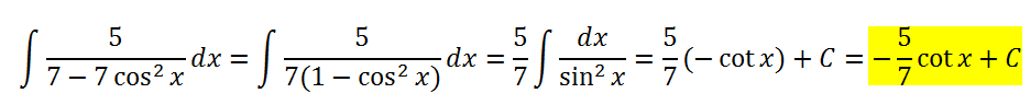
Hola! Me ayudan con esta integral por identidades trigonométricas.
∫ 5/(7-7cos^2 (x/2)) dx
Es que en el procedimiento que me enseño mi profesor viene así
∫5/7(1-cos^2 (x/2) dx (pero aquí desapareció un 7 que estaba restando al coseno) es ∫5/7(sen^2 (x/2) dx
Y la forma en que yo desarrolle la integral fue ∫5/7-7(1-sen^2 (x/2) dx por lo que al hacer la multiplicación me queda ∫5/7sen^2(x/2)dx, aunque el resultado al finalizar la integral es el mismo, no se por que omite el 7!
hola .unicoos
pueden explicarme leyes para simplificar.
he escuchdo por ejemplo si tengo a+b/a+c no puedo simplificar la a porq esta sumando. pero si tengo ab/ac si puedo simplificar la a.
que criterios para simplificar hay.
como quedaria esto a+b/a se cancela la a ò no se puede
gracias
Hola, no se si te sirva esto, pero en algunos temas de mate se ocupa el "ni quita ni pone" es decir sumas y restas ( o multiplicas y divides) la misma cantidad de modo que te quede algo que te simplifique cálculos o que te permita hacer " aparecer " términos conocidos
(a+b)/(a+c) = (a+b+c-c)/(a+c) = (a+c)/(a+c) + (b-c)/(a+c) = 1 + (b-c)/(a+c)
y en la otra, supongo que te refieres a (a+b)/a, acá solo puedes separar la suma, es decir a/a + b/a = 1 + b/a