Calcula un punto R en la recta r x=5+μ que equidista de los puntos P(1,0,-1) y Q (2,1,1)
y= μ
z= -2-2μ
Calcula la superficie del triangulo determinado polos puntos P,Q y R

Plantea las coordenadas del un punto genérico de la recta: M( 5+μ , μ , -2-2μ ).
Luego, plantea que las distancias PM y QM son iguales, y por lo tanto también lo son sus cuadrados:
d(P,M)2 = d(Q.M)2, expresas las distancias en función de sus componentes, simplificas raíces y potencias y queda:
( 5+μ- 1 )2 + ( μ - 0 )2 + ( -2-2μ-(-1) )2 = ( 5+μ- 2 )2 + ( μ - 1 )2 + ( -2-2μ-1 )2,
resuelves en os agrupamientos y queda:
( μ+4 )2 + μ2 + ( -2μ-1 )2 = ( μ+3 )2 + ( μ - 1 )2 + ( -2μ--3 )2,
desarrollas los binomios elevados al cuadrado y queda:
μ2 + 8μ + 16 + μ2 + 4μ2 + 4μ + 1 = μ2 + 6μ + 9 + μ2 - 2μ + 1 + 4μ2 + 12μ + 9,
reduces términos semejantes en ambos miembros y queda:
6μ2 + 12μ + 17 = 6μ2 + 16μ + 19,
haces pasajes de términos (observa que tienes cancelaciones) y queda:
- 4μ = 2, haces pasaje de factor como divisor y queda: μ = - 1/2.
Luego, reemplazas en la expresión general de punto M que hemos remarcado a comienzo y queda:
M( 5 - 1/2 , - 1/2 , - 2 - 2(-1/2) ),
resuelves coordenadas y queda: M( 9/2 , - 1/2 , - 1 ).
Espero haberte ayudado.

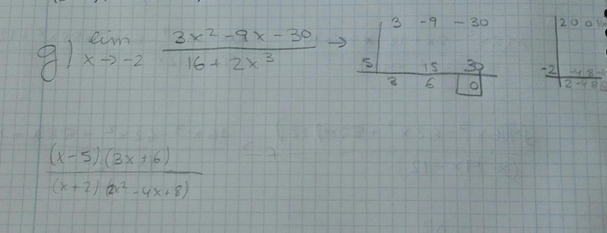
Has comenzado muy bien la factorización, pero observa que puedes continuar, y tomar factor común en el segundo factor del numerador y en el segundo factor del denominador y queda:
Lím(x→-2) (x - 5)*3*(x + 2) / (x + 2)*2*(x2 - 2x + 4) = simplificas y queda:
= Lím(x→-2) (x - 5)*3/ 2*(x2 - 2x + 4) = ( -2 - 5)*3 / 2*(4 + 4 + 4) = (- 7)*3 / 2*12 = - 21/24 = - 7/8.
Espero haberte ayudado.
Como se continua esto???? Nose como seguirla ayudaaaaaaa!!!!! Es la ecuacion diferencial cos x. y´= -sen x/2y en punto (0,2)

Debes corregir. Observa que tienes la ecuación diferencial de primer grado y primer orden:
cosx * y ' = (- senx) / 2*y, escribes la expresión de la derivada como cociente de diferenciales y queda:
cosx * dy/dx = (- senx) / 2*y, haces pasajes de divisores como factores y queda:
2*y*cosx*dy = - senx*dx, haces pasaje de factor como divisor y queda:
2*y*dy = - (senx/cosx)*dx,
integras miembro a miembro (observa que a la derecha debes aplicar la sustitución: w = cosx) y queda:
y2 = - ln|cosx| + C, que es una solución general implícita de la ecuación diferencial del enunciado.
Luego, según las condiciones iniciales, reemplazas las coordenadas del punto A(0.2) y queda:
4 = - ln|cos(0)| + C, y obtienes que e valor de la constante de integración es: 4 = C.
Luego, reemplazas en en la ecuación de la solución general y queda:
y2 = - ln|cosx| + 4, que es una solución particular implícita de la ecuación diferencial del enunciado,
cuya gráfica pasa por el punto de coordenadas A(0,2).
Espero haberte ayudado.