Hola.como seria la grafica de esto?
Determinar las curvas de nivel para z=0,1,-1 f(x,y)=ln (3y+6x∧2) y graficarlas
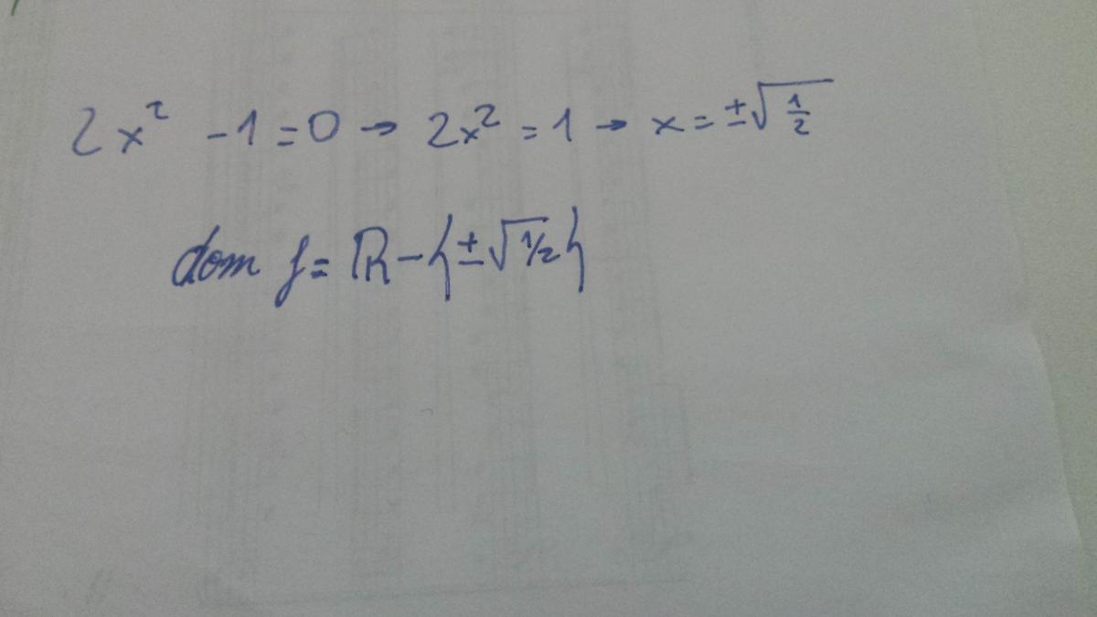
En la guia tengo que se iguala la funcion a los distintos valores de z. De ahi se depeja la "Y".Y al resultado se le dan valores para graficar.Siguiendo eso y segun lo que me dijistes llego a esto pero no entiendo como es la grafica,por que si fuera por ejemplo : x∧2+y∧2=9 seria una circunferencia de radio 3 la que se dibuja,pero aca me da que no estan los dos terminos elevados al cuadrado. Como deberia ser la grafica en estos casos? Subo la foto de lo que hice!

¡Hola! Nos encantaría ayudarte, pero no solemos responder dudas universitarias que no tengan que ver específicamente con los vídeos que David ha grabado como excepción. O de otras asignaturas que no sean Matemáticas, Física y Química. Lo sentimos de corazón… Esperamos que lo entiendas.
Ojalá algún unicoo universitario se anime a ayudarte (de hecho, lo ideal es que todos los universitarios intentarais ayudaros los unos a los otros).
Hola
¡Son parábolas! y=ax²+bx+c. Suele estudiarse en bachillerato todo lo necesario para representarlas.
http://www.vitutor.com/fun/2/c_5.html
En GeoGebra puedes representarlas además rápidamente.

Plantea la ecuación general de la familia de curvas de nivel de la función:
f(x,y) = K, sustituyes la expresión de la función y queda:
ln(3y + 6x2) = k (observa que debe cumplirse: 3y + 6x2 > 0),
luego compones en ambos miembros con a función inversa del logaritmo natural y queda:
3y + 6x2 = ek, haces pasaje de término y queda:
3y = - 6x2 + ek, divides en todos los términos de la ecuación por 3 y queda:
y = - 2x2 + ek/3,
que corresponde a una familia de parábolas con eje OY, y vértices en los puntos: Vk(0,ek/3), con sus ramas hacia abajo.
Observa, que cuando k tiende a - ∞, tienes la ecuación: y = - 2x2, que no pertenece al dominio, pero si es su frontera, y todas las curvas de nivel cubren la región del plano OXY que se encuentra por debajo de la frontera.
Espero haberte ayudado.
Buenas, ¿cómo se resolvería este problema?
Se sabe que la suma de los cuadrados de dos números positivos A y B vale 32. Calcular dichos números para que su producto A.B sea máximo.
Hola! Esto no es una pregunta específica de cómo resolver un ejercicio de matemáticas, pero necesito ayuda urgente por favor.
Mañana me presentó a selectividad o evau (como se llama este año) en Madrid, y un compañero de clase me acaba de decir que la calculadora que llevo utilizando estos dos años en bachillerato no está permitida. Mi modelo es "Casio fx-570ES" y me gustaría saber si alguien me lo puede confirmar. La usaría para Matemáticas II y Química
Muchas gracias!!!!