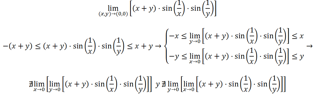
como seria la derivada
x mas 360000:x
porfVOR

Si la expresión de la función es:
f(x) = x + 360000/x,
observa que puede escribirse:
f(x) = x + 360000*x-1,
luego derivas término a término y queda:
f ' (x) = 1 + 360000*(- 1)*x-2,
luego, resolvemos signos, escribes el segundo término en forma fraccionaria y queda:
f ' (x) = 1 - 360000/x2.
Espero haberte ayudado.
me falta una de las dos dudas que pregunte esta mañana por resolver, si podeis ayudarme seria fantastico, asi esta tarde solo asimilo y repaso para mañana el examen. gracias
·La temperatura de una barra en funcion del tiempo viene dada por la funcion: T(x)=-2t2+12t+80, 0 ≤ t ≤ 6 donde t es el tiempo en minutos.
a) Halla la temperatura inicial y final de la barra
b) ¿en que momento (o momentos) la temperatura alcanza 96ºC?
c) representa graficamente la funcion
d) ¿cual es la temperatura maxima alcanzada y al cabo de cuantos minutos?

Tienes la función temperatura, cuya expresión es: T(t) = - 2t2 + 12t + 80, cuyo dominio es el intervalo: D = [0,6], con t expresado en minutos.
a)
Temperatura inicial: T(0) = - 2*02 + 12*0 + 80 = - 0 + 0 + 80 = 80 °C,
Temperatura final: T(6) = - 2*62 + 12*6 + 80 = - 72 + 72 + 80 = 80 °C,
b)
Plantea:
T(t) = 96, sustituyes la expresión de la función y queda:
- 2t2 + 12t + 80 = 96, haces pasaje de término y queda:
- 2t2 + 12t - 16 = 0, divides en todos los términos de la ecuación por - 2 y queda:
t2 - 6t + 8 = 0, que es una ecuación polinómica cuadrática cuyas soluciones son:
t = 2 minutos,
t = 4 minutos.
c)
Te dejo el gráfico, observa que es un arco de parábola.
d)
Observa que la función es continua, y que su dominio es un intervalo cerrado, por lo que tienes que la función alcanza máximo absoluto y mínimo absoluto en su dominio,
y que pueden presentarse en sus extremos o en el interior del intervalo.
Luego, plantea la expresión de la función derivada primera;
T ' (t) = - 4t + 12, luego planteas la condición de punto crítico (posible máximo o posible mínimo):
T ' (t) = 0, sustituyes la expresión de la derivada primera y queda:
- 4t + 12 = 0, haces pasaje de término y queda:
- 4t = - 12, haces pasaje de factor como divisor y queda:
t = 3 minutos.
Luego evalúas y queda:
T(3) = - 2*32 + 12*3 + 80 = - 18 + 36 + 80 = 98 °C.
Espero haberte ayudado.
Como se hace este ejercicio por que no lo entiendo aver si alguien puede decirme como se hace porfavor.
) El departamento de Innovación de una multinacional farmacéutica recibió una donación de
1.360.000 € para realizar investigaciones sobre un nuevo fármaco. El dinero se dividió entre 100
científicos de 3 grupos de investigación: A, B, C. Cada científico del grupo A recibió 20.000 €; cada
científico del B 8.000 € y cada uno del C recibió 10.000 €. El grupo de investigación B recibió la
quinta parte de los fondos del grupo A. ¿Cuántos científicos pertenecen a cada grupo?
Sea x el número de científicos pertenecen al grupo A; Sea y el número de científicos pertenecen al grupo B y sea y el número de científicos pertenecen al grupo C.
Como hay 100 científicos => x+y+z=1000
Como cada científico del grupo A recibió 20.000 €; cada científico del B 8.000 € y cada uno del C recibió 10.000 € y en total la donación fue de 1.360.000 € => 20000x+8000y+10000z=1360000
Como el grupo de investigación B recibió la quinta parte de los fondos del grupo A => 8000y=(2000x)/5
Por lo tanto, tenemos un sistema de ecuaciones:
x+y+z=1000
20000x+8000y+10000z=1360000
8000y=(2000x)/5
se resuelve y obtenemos:
40 científicos del grupo A
20 del B
y 40 del C
Tengo un par de dudas y el examen es mañana, a ver si pueden ayudarme por favor, me juego el titulo :(
• Resuelce las siguientes ecuaciones:
a) x4+2x3-7x2-8x+12=0 b) √4x+8-x=3 (la raiz va hasta el 8, la x ya esta fuera de la raiz)
•La temperatura de una barra en funcion del tiempo viene dada por la funcion: T(x)=-2t2+12t+80, 0 ≤ t ≤ 6 donde t es el tiempo en minutos.
a) Halla la temperatura inicial y final de la barra
b) ¿en que momento (o momentos) la temperatura alcanza 96ºC?
c) representa graficamente la funcion
d) ¿cual es la temperatura maxima alcanzada y al cabo de cuantos minutos?