Hola unicoos, por qué en este ejercicio de continuidad con una función a trozos en el x<-1 la función no es continua?
PD: no entiendo eso de que no está definida ya que para saber eso no había que hacer los límites por la izquiera y la derecha?

Recomiendo que estudies y aprendas bien cuáles son las condiciones que se debe cumplir para que una función sea continua en un punto .
Una de las condiciones es que el límite en ese punto exista consecuencia de esto es que los límites laterales deben ser iguales .
Otra de las condiciones y es la primera que se debe observar es que el punto x=a (para la continuidad en "a") debe pertenece al dominio de la función . Si x=a no pertenece al dominio de la función entonces no es continua en x= a y ya no se pierde el tiempo calculando los límites

El hecho que este definida no tiene nada que ver nada con los límites sino se refiere a que el punto x=a pertenezca al dominio de la función , en caso no pertenezca se dice que no está definida en ese punto .
Esto de que está definida o no como indico se refiere al dominio y esto ya te lo dan (o lo calculas) . Fíjate que en tu ejercicio ya te dan de dato de dónde a donde está definida la función ese es el dominio el intervalo para x .
x es mayor que (-1) y también menor que (-1) pero en ninguna ves igual a (-1) por lo tanto no pertenece al dominio y se dice que en x=-1 no está definida .
De acá directamente si no está definida en ese punto entonces no es continua en ese punto , sin importar que los límites laterales sean iguales .
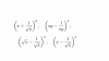
necesito ayuda con los vectores de cuarto de la eso por favor
Aunque estén colocados en 1º de Bach tranquilo, son de 4º de ESO:
http://www.unicoos.com/video/matematicas/1-bachiller/geometria-analitica/vectores/rotacion-vectorial
Ayuda en este problema:
Halla el area de un triangulo rectangulo isosceles de lados iguales de 9cm , gracias.
Hola me ayudarian con el ejericio 2 porque o sea intento hacerlo pero no entiendo como seria el calculo del intervalo superior e inferior ahi me re quede estancado,lo agradecerìa gracias!

¡Hola! Nos encantaría ayudarte, pero no solemos responder dudas universitarias que no tengan que ver específicamente con los videos que David he grabado como excepción. O de otras asignaturas que no sean Matemáticas, Física y Química. Lo sentimos de corazón… Esperamos que lo entiendas.
Ojalá algún unicoo universitario se anime a ayudarte (de hecho lo ideal es que todos los universitarios intentarais ayudaros los unos a los otros).