Dos soluciones para un problema dado al simplificar los radicales dobles?
Dado el siguiente problema:
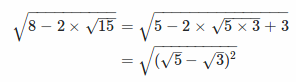
Simplificar:
Esta expresión podría ser reescrita como:
Ahora que esta expresión está en la forma ![]()
De ello se deduce que tanto
y
satisfacen la expresión anterior porque son iguales a y -a, respectivamente.
El autor (Kunihiko Kodaira, japonés Grado 10) selecciona
como una respuesta correcta.
¿Dónde está el defecto en mi lógica?
Buenos días. En la función
f(x) = Ι X - 4 I - I -X + 5 I
nos pidieron calcular el Dom( √(x-2) / f(x)-1 )
Yo lo que hice fue lo siguiente
- Decir que en f(x)-1, puesto que era el denominador, no podía ser igual a 0, luego, despejando, f(x)=1. La profesora me dijo entonces que la x ahí pertenecería al intervalo (-∞, 5)
- Indicar que lo que había dentro de la raíz (x-2) tenía que ser mayor o igual a 0, luego x∈[2, +∞)
Entonces la solución del dominio sería [2,5)
Alguien puede explicarme por qué la x pertenece al intervalo (-∞,5) cuando está en el denominador?
El enunciado es probar si esta forma bilineal es un producto escalar:
Solo me queda probar que es definida positiva. ¿para probar que es no degenerada sirve con decir que el radical es solo la funcion f(t)=0?
Hola, estoy haciendo un ejercicio de identidades trigonometricas, y despues de hacer el prmer paso ,no se como continuar. Me podeis ayudar. Gracias
1+tag² α cos α
__________ = __________
cos α 1+ sen α
He hecho el cambio de tag² α= sen²α/cose²α. Pero no se como seguir y que hacer con el 1+senα, ya que com esta sumando y el sen no esta al cuadrado,no puedo hacer el cambio de cos²α= 1-sen²α
Buenos días, solo me queda probar que sea definida positiva pero no se me ocurre cómo. Otra cosa, probar que es no degenerada valdría con decir que esta suma de integrales solo es nula para la función nula? Es este ejercicio:

Depende del caso. El objetivo es poder obtener alguna expresión que puedas integrar directamente. Puede ser que te salga alguna expresión a la hora de manipular las funciones que te de algo en función de lo que querías encontrar al principio, y entonces deberás emplear una ecuación funcional con esta integral como incógnita.
no hay un orden preestablecido pero para integrales sencillas como en tu caso sirve el metodo "LIATE" es decir la u se cogera en este orden:
L logaritmos
I inversas trigonometricas (arcsen, arcos...)
A algebraicas (x²,x³...)
T trigonometricas
E exponenciales (e^x, 2^x...)
No es estrictamente un metodo pero suele funcionar, pruebalo
Una compañía que produce un determinado refresco mantiene que sus máquinas dispensan, en media, 6 onzas por vaso, con una desviación estándar de 0.14 onzas. Un consumidor se encuentra escéptico al respecto, pues considera que la cantidad media servida es menor que 6 onzas. Para obtener información se selecciona una muestra de tamaño 100. Si la cantidad media por vaso fue de 5,6 onzas para esta muestra, ¿qué conclusiones se pueden extraer? Indique las hipótesis nula y alternativa. Utiliza un nivel de significancia de 0.05.
Recuerda que en un contraste de hipótesis se hace igual que en un
juicio. Cuando juzgan a alguien es porque "se tienen pruebas de que es
culpable".
En este caso, las pruebas apuntan a que x<6 cuando la variable aleatoria X="onzas de refresco que dispansa la máquina" = N(6, 0.14).
entonces el contraste que tienes que hacer es
Ahora calcula el estadístico de contraste y compáralo con las zonas que marca el contraste. Si está dentro del rango de ,
entonces no habrá evidencia suficiente para esa afirmación (las pruebas
no son suficientes para condenar al acusado). Y si sale en
, entonces sí sale significativo el contraste y se puede afirmar eso con todas las de la ley.