Si una función f:ℛ→ℛ es lipschitziana, ¿cómo se prueba que el límite cuando x→∞ de (f(x)/(x2)) es 0?
He intentado probar que el límite de f(x) cuando x→∞ es un número finito, y que como el de x2 es infinito, entonces es 0. Pero me quedo atascado al intentar probarlo. ¿Cómo se resolvería? Muchas gracias, un saludo.
para el b, me respondieron que m=3, pero en las soluciones me pone 13(no dice procedimiento), pueden hacerlo paso a paso por favor? gracias
Te cuento Dipika, hay varias formas de abordar este ejercicio, te paso una de ellas:
a) Nos preguntan si son paralelas o no, lo serán si lo son sus vectores directores, por lo que tendrás que obtenerlos y chequear si son proporcionales.
b) Una de las condiciones para que dos rectas estén en el mismo plano es que el determinante de la matriz formada por los vectores directores de ambas y un tercer vector que va de un punto de una recta a otro punto de la otra recta sea nulo, por lo que tendrás que obtener un punto de cada una de ellas, obtener a continuación el vector entre ambos y posteriormente hallar el determinante de la matriz formada por esos tres vectores (los dos primeros lo tienes del apartado anterior), igualar el resultado a cero, y finalmente, despejar la m.
Identidad y posible generalización de las fracciones continuas periódicas reflexivas
Esto es sólo por curiosidad. Noté que ciertos múltiplos de números cuadrados arraigados pueden formarse con una fracción continuada periódica. La adición a esa periodicidad es reflexiva por naturaleza. Digamos por ejemplo:
9√(3)=[15; 1,1,2,3,15,3,2,1,1,30]
Dónde:
Otro ejemplo:
16√(2)=[22; 1,1,1,2,6,11,6,2,1,1,1,44]
Parece que este tipo de secuencias se producen con (cuadrado?) Números arraigados (primos?) Multiplicados con potencia? (números primos.
Quiero saber si este comportamiento se identifica de alguna manera y si siguiendo el procedimiento de cinco pasos anterior puede producir un conjunto fijo de números (irracionales?).
Lo más curioso es sobre la consecuencia de la reflexión de la secuencia numérica. ¿Hay alguna explicación?

Me encantaría ayudarte, pero no respondo dudas universitarias que no tengan que ver específicamente con los videos que ya he grabado como excepcion. O de otras asignaturas que no sean matemáticas, física y química. Lo siento de corazón… Espero lo entiendas
Ojalá algun unicoo universitario se anime a ayudarte (de hecho lo ideal es que todos los universitarios intentarais ayudaros los unos a los otros)
¡Hola! No entiendo cómo calcular funciones exponenciales, ni las funciones del seno, el coseno y la tangente. Las logarítmicas tampoco... Me he mirado un vídeo que colgó pero no pillo nada... ¿Me ayudaríais?
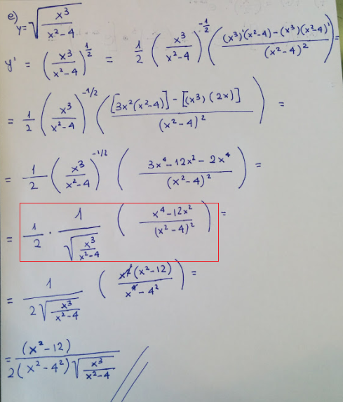
Hola Unicoos, podrían encontrarme el fallo en esta derivada y ayudarme paso a paso a continuar.
Muchísimas gracias
Hola Unicoos,
Me podrían corregir estas dos derivadas, en la de abajo me lío muchísimo con Cos2 3x, no sé si es un producto o si hay que tratarlo como término Individual.
Si tengo algún fallo podrían decirme cuales son y corregírmelos.
Muchísimas gracias
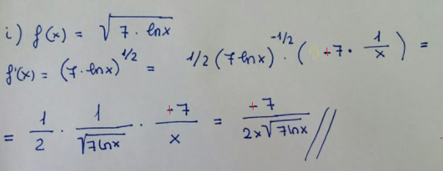
Hola Unicoos,
Pueden decirme si tengo algún fallo en esta derivada, y en caso de que lo tenga me lo podríais corregir paso a paso?
Muchísimas gracias