X cm 14cm 10cm 2cm que valor tiene x ahi

se trata de que DESPUES DE IR A CLASE (ver los vídeos relacionados con vuestras dudas) enviéis dudas concretas, muy concretas. Y que nos enviéis también todo aquello que hayais conseguido hacer por vosotros mismos. Paso a paso, esté bien o mal. No solo el enunciado. De esa manera podremos saber vuestro nivel, en que podemos ayudaros, cuales son vuestros fallos.... Y el trabajo duro será el vuestro. Nos cuentas ¿ok? #nosvemosenclase ;-)
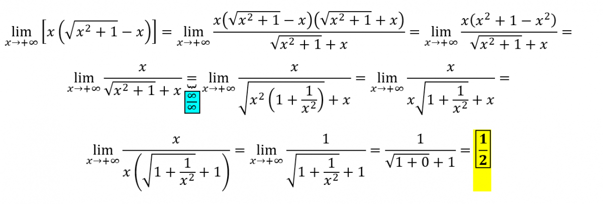
Hola tengo problemas para entender esta demostracion, hasta donde esta la linea roja entiendo perfectamente, veo que va creando una sucecion de elementos de A que se va acercarndo a s, pero despues cuando dice 0 < s - an ...
ahi me pierdo, porque dice que usa la dificion de limite pero no entiendo porque lo hace alrevez ya que la definicion de limite es An - L < epsilon, si me podrian ayudar a entender se los agradecería

Hola! Me encantaría ayudarte, pero no respondo dudas universitarias que no tengan que ver específicamente con los videos que ya he grabado como excepcion. O de otras asignaturas que no sean matemáticas, física y química. Lo siento de corazón… Espero lo entiendas
Ojalá algun unicoo universitario se anime a ayudarte (de hecho lo ideal es que todos los universitarios intentarais ayudaros los unos a los otros)

Lo primero que siempre tenes que hacer es ver si tenes algún tipo de indeterminación
En el punto 1 tenes algo del tipo inf ^ inf , lo cual no presenta ningún problema, ya que algo grande elevado a algo grande, es algo mucho mas grande por lo que el limite del punto 1 es +inf
En el punto 2 tenes ahora inf ^ - inf , vos por ejemplo cuando tenes 2 ^ -2 es como decir que tenes 1/2 ^ 2 , entonces eso seria 1/inf ^ inf, 1/inf tiende a 0, y entonces tenes 0 ^inf , lo cual es 0
En el punto 3 tenes ahora inf ^ -3/5 = 1/inf ^3/5 ==> tiende a 0 ^ 3/5 lo que da 0
En el punto 4 tenes lo mismo que en el punto 2 0 ^ inf ===> tiende a 0
En el punto 5 tenes 0 ^ - inf ===> tiende a 1/0 ^ inf, en esta parte no es un indeterminacion porque el 0 dividiendo no es cero sino que tiende a 0, por lo tanto es otro caso de inf ^ inf = inf
En el punto 6 tenes 2/3 ^ 0 ==> tiende a 1
En el punto 7 tenes 2/3 ^ -inf = 3/2 ^ inf esto es como si tuvieras 3 ^inf / 2 ^inf, el 3 de arriba tiende a inf mas rapido que el de abajo porque lo que esto tiende a inf
En el punto 8 tenes 2/3 ^ inf esto es como si tuvieras 2 ^inf / 3^inf, ahora es alrevez que el anterior el de abajo tiende mas rapido a inf por lo que esto tiende a 0
Cualqueir duda que tengas volve a preguntar
Hola buenas a todos! Tengo un ejercicio complicado :O que no se como hacer a ver si me podeis ayudar...
Una escalera de 13 metros esta apoyada sobre una pared. La base de la escalera empieza a deslizarse por el suelo con una velocidad vertical de 3 m/s.
La 1 pregunta es, con que velocidad se mueve el punto de contacto de la escalera con el suelo, cuando el punto de contacto esta a 5 m de la pared?
La 2 pregunta, Con que velocidad cambia el angulo que forma la escalera con el suelo?
Hola buenas, como se hace este ejercicio usando optimizacion:
Tenemos un triangulo rectángulo isósceles con longitud de su catetos de 10 cm. Encontrar el área máxima que el triangulo puede tener.