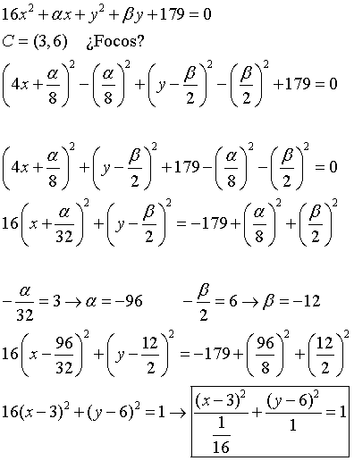
Se sabe que el centro de la elipse dada por la ecuacion 16x^2+alfax+y^2+βy+179=0 es (3,6).hallar alfa,beta y las coordenadas de los focos.lo realize completando cuadrados pero no estoy seguro,.
Señor ANTONIUS BENEDICTUS preciso su ayuda..Sea v el vector norma 1 de la recta y=-x que esta en el cuarto cuadrante y sea T la rotacion en el sentido contrario a las agujas del reloj que verifica T (0,1)=v. Si A es una homotecia de Factor √2,calcular (A o T)^-1 (1,1).desde ya gracias.
Es sencillo, para saber los puntos de corte con los ejes tienes que igualar x o y (f(x)) a 0 según el punto de corte que quieras.
Para saber donde corta la función en y, x=0; si x=0, y=12 (puedes comprobarlo por ti mismo sustituyendo).
Para saber donde corta la función en x, y=0; realizas la ecuación de segundo grado correspondiente y te da una raíz doble de x=2.Por lo tanto f(x), corta en y= 12 y x= 2.
Una tabla de valores es algo muy sencillo que omitiré hacerlo.Simplemente das valores a tu gusto en x y ves que pasa en y, y listo.

La intersección con el eje x siempre tendrá coordenadas (α,0) y la intersección con el eje y tendrá coordenadas (0, β).
Tienes función, así que para encontrar la intersección con el eje x, igualas a 0 la expresión y despejas x.
Para la intersección con y, le das el valor 0 a x y calculas la imagen.
La tabla de valores es calcular las imágenes para distintos valores de x. Puedes hacerla para x=-2, x=-1, x=0, x=1, x=2
Necesito ayuda con el apartado b del problema 56, a mi me da a(1)=5 a(2)=-4 y para m me da m(1)=0 y m(2)=9 y no entiendo por que me da dos soluciones, si puede ser por un error mio o es posible que sean dos soluciones validas.