Foro de preguntas y respuestas de Matemáticas

logo beUnicoos
Los foros de unicoos se han unificado en nuestra nueva plataforma beUnicoos. Para dejar nuevas preguntas deberás hacerlo allí, donde además podrás encontrar nuevas asignaturas y herramientas para ayudarte más con tus estudios.

  • icon

    Lola
    el 30/3/17
    flagflag

    Como se resuelve esto paso a paso? Es de fisica pero no responden en el foro,muchas gracias!

    Una pelota es arrojada hacia arriba con una velocidad de 32m/s,dos segundos mas tarde se arroja hacia abajo sobre la misma vertical,otra pelota que se encuentra a 50m de altura con una velocidad de 10m/s.

    Calcular a que altura del piso se chocan las dos pelotas y en que instante lo hacen

    replythumb_up0 voto/sflag
    icon

    Carlos A. Borasteros
    el 30/3/17

    Empezamos calculando la altura a la que se encuentra la primera pelota cuando se lanza la segunda pelota.

    y= v0t - 1/2(gt2)

    Sustituimos en la formula todos los valores que conocemos y queda únicamente "y". La altura de y a los 2 segundos sera 44,38m.

    Ahora calculamos la velocidad final de la primera pelota en el instante en el que se lanza la segunda.

    v= v- gt

    De nuevo sustituimos todos los valores y sacamos la velocidad final que es 12,38m/s

    Por ultimo sacamos la altura de la pelota 2 al comenzar considerando el punto 0 la nueva posicion de la pelota 1 (44,38m)

    50-44,38= 5,62m

    Nos piden el instante y la altura en la que chocan por lo que sabemos que la "y" (altura) tiene que ser igual en ambas. Sabiendo esto podemos igualar las ecuaciones de ambas pelotas.

    Pelota 1: y= v0t - 1/2(gt2 ) y= 12,38t-4,905t2

    Pelota 2:  y= v0t-1/2(gt2)y=5,62 -10t - 4,905t2 (La velocidad tiene símbolo negativo porque va en dirección contraria a los ejes que hemos puesto considerando que el positivo es hacia donde se mueve la pelota 1)

                        

    Al igualar las ecuaciones nos queda esto:

    12,38t - 4,905t= 5,62  - 10t-4,905t2

    12,38t+10t=5,62

    22,38t=5,62

    t=5,62/22,38= 0,251 s 

    Ya tenemos el instante en el que se chocan comenzando a contar desde que se lanza la pelota 2. Para encontrar el tiempo que tardan en chocarse desde que se lanza la primera bola solo hay que sumarle los 2s que esperan hasta lanzar la pelota 2. t=2,25s

    Para hallar la altura a la que se chocan solo debemos sustituir en una de las dos ecuaciones con el nuevo tiempo.

    y=v0t-1/2(gt2)

    y=(32x2,25)-(4,905x2,252)

    y=47,17m

    Espero que te haya ayudado.


    thumb_up0 voto/sflag
  • icon

    Lola
    el 30/3/17
    flagflag

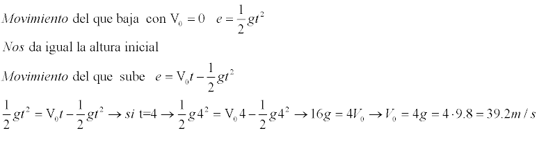
    Hola,como se resuelve esto paso a paso?Es de fisica pero no responde nadie en el foro! Muchas gracias!

    Se arroja una pelota hacia arriba con una velocidad de 58,8m/seg,con que velocidad se arrojara otra hacia abajo para que al cabo de 4 seg,las dos recorran la misma altura en valor absoluto

    replythumb_up0 voto/sflag
    icon

    César
    el 30/3/17


    thumb_up0 voto/sflag
  • icon

    Sonia Ramis García
    el 30/3/17

    Como se resuelve este ejercicio¿? gracias

    replythumb_up0 voto/sflag
    icon

    Antonius Benedictus
    el 30/3/17


    thumb_up1 voto/sflag
  • icon

    Sara
    el 30/3/17

    ∫ e^x .cos x  dx

    replythumb_up0 voto/sflag
    icon

    Antonius Benedictus
    el 30/3/17


    thumb_up0 voto/sflag
  • icon

    Deidara Stick.
    el 30/3/17

    Hola, buenos días. Alguien puede colaborarme con un problema de estadística, no soy hábil en esa área de la matemática. Guiadme... Muchas gracias


    replythumb_up0 voto/sflag
    icon

    Antonius Benedictus
    el 30/3/17


    thumb_up0 voto/sflag
  • icon

    Sebástian
    el 30/3/17

    Que tal.

    Como podría demostrar la identidad trigonométrica de la imagen. Claro, pues debe de operar solo en el primer miembro.


    replythumb_up0 voto/sflag
    icon

    Antonius Benedictus
    el 30/3/17


    thumb_up0 voto/sflag
  • icon

    Sandy Murillo S...
    el 30/3/17

    Hola!!

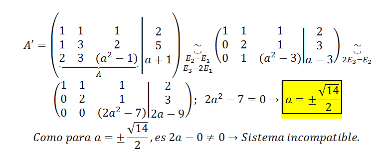
    Que tal amigos de unicoos. Podría alguien de favor ayudarme con el siguiente problema para un determinado sistema de ecuaciones. Por favor. Gracias de antemano.


    replythumb_up0 voto/sflag
    icon

    Antonius Benedictus
    el 30/3/17


    thumb_up0 voto/sflag
  • icon

    Ingrid
    el 30/3/17

    Me podrían ayudar con estos ejercicios, gracias.



    replythumb_up0 voto/sflag
    icon

    Antonius Benedictus
    el 30/3/17


    thumb_up1 voto/sflag
    icon

    Ingrid
    el 30/3/17

    Muchas gracias.

    thumb_up0 voto/sflag