Foro de preguntas y respuestas de Matemáticas

logo beUnicoos
Los foros de unicoos se han unificado en nuestra nueva plataforma beUnicoos. Para dejar nuevas preguntas deberás hacerlo allí, donde además podrás encontrar nuevas asignaturas y herramientas para ayudarte más con tus estudios.

  • icon

    Adrián
    el 30/3/17

    Hola, buenas: 

    No sé cómo hacer este ejercicio en el que me pide el dominio de la ecuación:

    Gracias de antemano


    replythumb_up0 voto/sflag
    icon

    Antonius Benedictus
    el 30/3/17

    Toda la recta real a excepción de los valores x=kπ, con kℤ (enteros).

    thumb_up0 voto/sflag
    icon

    Antonius Benedictus
    el 31/3/17

    Para esos valores, el seno vale 0.

    thumb_up0 voto/sflag
  • icon

    o852734
    el 30/3/17


    replythumb_up0 voto/sflag
    icon

    Antonius Benedictus
    el 30/3/17

    P=Q

    Los ángulos en los que se anula el seno son los múltiplos enteros de 180º=π rad.

    thumb_up0 voto/sflag
  • icon

    Lucía Langa Pardo
    el 30/3/17

    Hola, ¿Tenía una duda para un examen y es que no entiendo como calcular la pendiente de una recta ?

    P.D: soy de 2ºESO

    replythumb_up0 voto/sflag
    icon

    César
    el 30/3/17


    thumb_up1 voto/sflag
    icon

    Jesus Martin Pech Burgos
    el 31/3/17

    Si te dan dos puntos de una recta, (x1,y1) y (x2,y2) , entonces para calcular la pendientes haces lo siguiente  (y2 -y1)/(x2-x1)

    Saludos


    thumb_up1 voto/sflag
  • icon

    Laura Muñoz Fernandez
    el 30/3/17

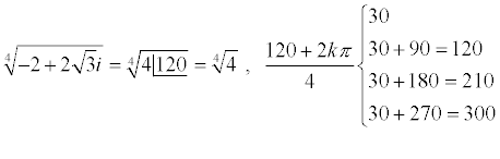
    En el siguiente ejercicio me pide 4√-2+2√3i  calcular las soluciones. Creo que esta mal por pertenecer al segundo cuadrante por lo que 180- Yo he hecho lo siguiente sin tener en cuenta este detalle:

    Se haría así o restandole a 180 alfa?



    replythumb_up0 voto/sflag
    icon

    César
    el 30/3/17


    thumb_up1 voto/sflag
    icon

    Laura Muñoz Fernandez
    el 1/4/17

    Gracias, entonces lo hice bien!

    thumb_up0 voto/sflag
  • icon

    Oscar Gutiérrez Sanz
    el 30/3/17

    ¿Me podrian ayudar con la indentidad?

    (Senx × cosx)^2=1+2tgxcosx^2x

    Gracias

    replythumb_up0 voto/sflag
    icon

    Antonius Benedictus
    el 30/3/17


    thumb_up0 voto/sflag
    icon

    Antonius Benedictus
    el 30/3/17

    La tenías mal transcrita, Óscar.

    thumb_up0 voto/sflag
    icon

    Oscar Gutiérrez Sanz
    el 30/3/17

    si, me confundí al copiar la identidad notable. Muchas gracias otra vez me ha servido de ayuda.

    thumb_up0 voto/sflag
  • icon

    Sandra López Gómez
    el 30/3/17

    Buenas tardes, necesitaría ayuda en este problema:

    Los catetos del triángulo rectángulo ABC miden AC=28cm y AB=21cm. Desde el punto D tal que AD=9cm, se traza una paralela a AC, que corta a AB en el punto E. Halla el área y el perímetro del trapecio ADEC.

    replythumb_up0 voto/sflag
    icon

    Antonius Benedictus
    el 30/3/17

    Foto del enunciado original, Sandra.

    thumb_up0 voto/sflag
    icon

    Sandra López Gómez
    el 30/3/17

    Es exactamente así, no trae representación gráfica. De todos modos, creo que ya lo tengo. Muchas gracias!

    thumb_up0 voto/sflag
  • icon

    Majda Yahya
    el 30/3/17

    Buenas tardes. Me gustaría saber si podíais ayudarme con esta actividad.

    Gracias!



    replythumb_up0 voto/sflag
    icon

    Antonius Benedictus
    el 30/3/17


    thumb_up1 voto/sflag
  • Usuario eliminado
    el 30/3/17

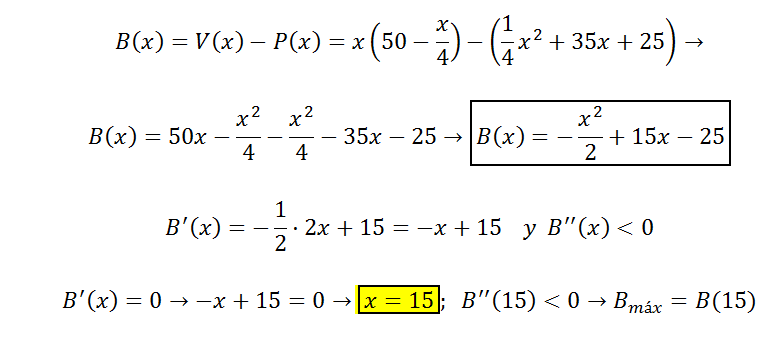
    Buenas tardes. Me gustaría saber si podíais ayudarme a como poder resolver el problema que os pondré ahora ya que por trabajo no puedo ir a clase y  no encuentro ningún vídeo similar a este tipo de problemas de optimización u me esta costando entenderlo sola. Es el siguiente: El coste de producción de x unidades diarias de un determinado producto es 1/4 . x + 35x + 25 euros y el precio de ventas de uno de ellos es 50 - x/4 euros. Halla  el número de unidades que debe venderse diariamente para que el beneficio sea máximo.

    replythumb_up0 voto/sflag
    icon

    Antonius Benedictus
    el 30/3/17

    Foto del enunciado original, Úrsula.

    thumb_up0 voto/sflag

    Usuario eliminado
    el 30/3/17


    thumb_up0 voto/sflag
    icon

    Antonius Benedictus
    el 30/3/17


    thumb_up0 voto/sflag
  • icon

    Laura Muñoz Fernandez
    el 30/3/17

    Resuelve el triángulo del que se sabe que a=13, b=7 y c=8

    Se que se aplica el teorema del coseno pero no soy capaz de resolverlo, he visto el vídeo del teorema del coseno y aún así no me ha salido ¿Me podéis ayudar?

    replythumb_up0 voto/sflag
    icon

    Antonius Benedictus
    el 30/3/17

    13^2=7^2+8^2-(2·7·8 cosA)

    169=49+64-112 cosA

    56=-112 cosA

    cosA=-56/112=-1/2

    A=120º

    Sigue tú.

    thumb_up0 voto/sflag
    icon

    Laura Muñoz Fernandez
    el 30/3/17

    Muchas gracias!

    thumb_up0 voto/sflag
  • icon

    o852734
    el 30/3/17



    replythumb_up0 voto/sflag
    icon

    Antonius Benedictus
    el 30/3/17

    ¡Los números primos!

    thumb_up0 voto/sflag