Foro de preguntas y respuestas de Matemáticas

logo beUnicoos
Los foros de unicoos se han unificado en nuestra nueva plataforma beUnicoos. Para dejar nuevas preguntas deberás hacerlo allí, donde además podrás encontrar nuevas asignaturas y herramientas para ayudarte más con tus estudios.

  • icon

    Vanesa
    el 19/2/17

    Este limite da + infinto ?

    replythumb_up0 voto/sflag
    icon

    Antonius Benedictus
    el 19/2/17


    thumb_up0 voto/sflag
  • icon

    Adnan
    el 19/2/17

    como se halla esta derivada siguiendo la regla de la cadena


    replythumb_up0 voto/sflag
    icon

    Antonius Benedictus
    el 19/2/17


    thumb_up0 voto/sflag
    icon

    Antonius Benedictus
    el 19/2/17


    thumb_up0 voto/sflag
  • icon

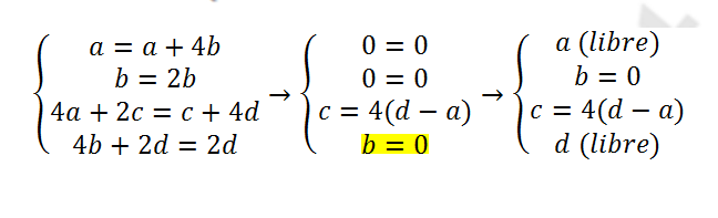
    Lorena
    el 19/2/17

    Hola, alguien me puede decir como se resuelve este sistema 

    replythumb_up0 voto/sflag
    icon

    Antonius Benedictus
    el 19/2/17


    thumb_up1 voto/sflag
  • icon

    Adnan
    el 19/2/17

    como se calculan estas derivadas


    replythumb_up0 voto/sflag
    icon

    Antonius Benedictus
    el 19/2/17


    thumb_up0 voto/sflag
  • icon

    Adnan
    el 19/2/17

    como se calculan estas derivadas


    replythumb_up0 voto/sflag
    icon

    Antonius Benedictus
    el 19/2/17


    thumb_up0 voto/sflag
  • icon

    usuario123
    el 19/2/17

    Hola, necesito resolver una duda.

    ¿Cómo se resolvería cuando tienes que dividir por ejemplo, (-4p2:2p2)

    Los doses quieren decir los exponentes a los que están al lado de las p. Gracias!

    replythumb_up0 voto/sflag
    icon

    Fran Foce
    el 19/2/17

    se te anulan los p cuadrados y te queda -4/2=-2

    thumb_up1 voto/sflag
  • icon

    Júlia Sintes Pons
    el 19/2/17

    Hola no se como resolver este ejercicio, se que primero tengo que hacer el teorema del seno pero luego no se como continuar. Os dejo dos fotos, una con lo que he hecho y otra con el enunciado del ejercicio. 

    P. D:El enunciado está en catalán y significa"Calcula la distancia entre las cometas".

    replythumb_up0 voto/sflag
    icon

    Antonius Benedictus
    el 19/2/17

    Te mando uno similar (solo cambian los datos):


    thumb_up0 voto/sflag
    icon

    Júlia Sintes Pons
    el 19/2/17

    Muchas gracias, me ha servido mucho.

    thumb_up0 voto/sflag
  • Usuario eliminado
    el 19/2/17
    flag

    Sobre Álgebra de Boole. Es un ejercicio simple, así que incluso si es de "universidad" (o Tecnología de Bachillerato, imagino)...


    replythumb_up0 voto/sflag
  • icon

    Andres Montoro Menor
    el 19/2/17

    Me dicen que e echo mal? Por que en las soluciones da otro resultado.

    replythumb_up0 voto/sflag
    icon

    César
    el 19/2/17

    Revisa el determinante 

    3x+y+z7=0

    thumb_up0 voto/sflag
    icon

    Andres Montoro Menor
    el 19/2/17

    Me sigue dando lo mismo, me puede decir en que me equivoco?

    thumb_up0 voto/sflag
  • icon

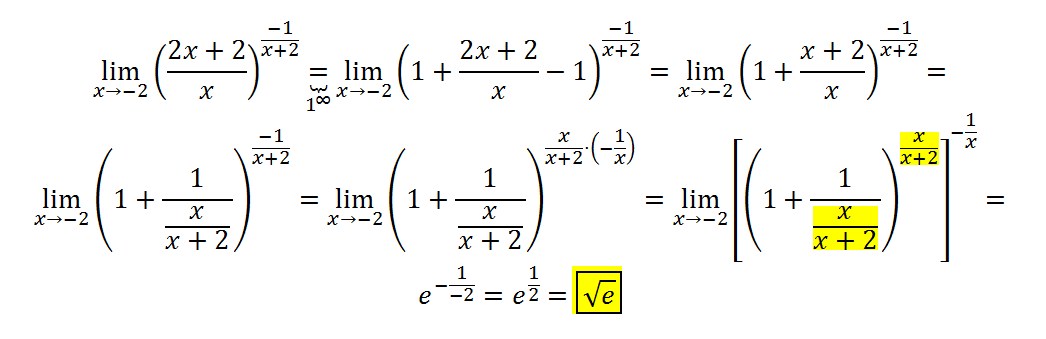
    Víctor López
    el 19/2/17

    Buenos días. Quisiera pedirles que me ayudasen con estos límites. ¡Muchas gracias!

    replythumb_up0 voto/sflag
    icon

    Antonius Benedictus
    el 19/2/17


    thumb_up0 voto/sflag