Cual seria la region y el area ? De : y=(x+1)∧2 -7 y=/X/ X== -4

Como se calcula el area paso a paso de la funcion dada por y=x∧3-x y el eje X

http://www.vitutor.com/integrales/definidas/ejercicios_areas.html
El ejercicio 1 es de procedimiento idéntico
Hola,me podrian decir si estas afirmaciones son verdaderas o falsas?
Buenas, quisiera consultarle al profesor Antonio una cuestión sobre álgebra de matrices,una submatriz triangular inferior son todos aquellos elementos de la matriz que cumplan 0 <= j <=i, y la matriz triangular superior son todos los elementos que cumplen i<=j<=m , bien, todos estos cálculos se hacen respecto a la diagonal principal de la matriz,pero si me piden dar con la condición que tienen cumplir j e i en una submatriz triangular (ya sea inferior o superior) pero respecto a la diagonal secundaria, llevo un rato pensándolo pero no doy con la fórmula.
Gracias
Sea ℛ la región en el primer cuadrante limitada por las curvas y = x3 e y = 2x - x2. Calcula las siguientes cantidades:
a) El área de ℛ
b) El volumen obtenido al rotar ℛ alrededor del eje x
c) El volumen obtenido al rotar ℛ en torno al eje y
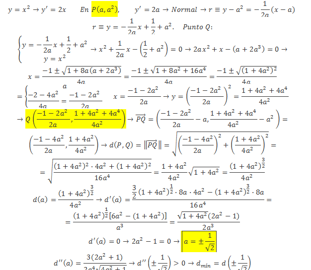
Si P(a, a2) es cualquier punto sobre la parábola y = x2, excepto en el origen, sea Q el punto donde la recta normal cruza la parábola una vez más (véase la figura). Demuestra que el segmento de recta PQ tiene la longitud más corta posible cuando a = 1/√2.