Foro de preguntas y respuestas de Matemáticas

logo beUnicoos
Los foros de unicoos se han unificado en nuestra nueva plataforma beUnicoos. Para dejar nuevas preguntas deberás hacerlo allí, donde además podrás encontrar nuevas asignaturas y herramientas para ayudarte más con tus estudios.

  • icon

    Sonia Ramis García
    el 18/2/17

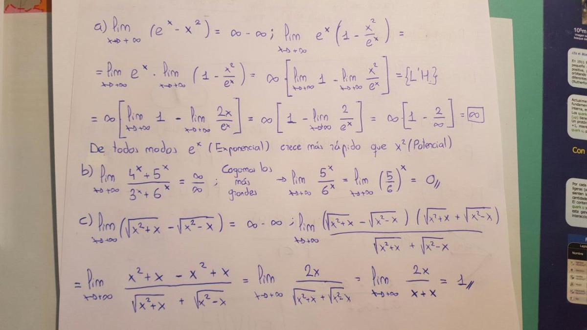
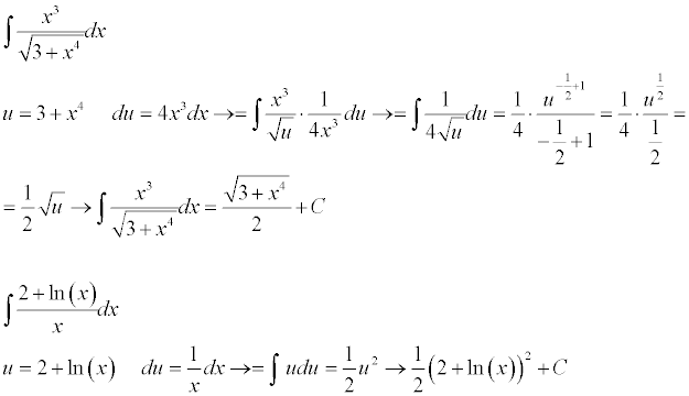
    También, ¿cómo se hace esta otra integral? Gracias

    replythumb_up0 voto/sflag
    icon

    César
    el 18/2/17

    Te van las dos en este mismo post 

    thumb_up1 voto/sflag
  • icon

    Sonia Ramis García
    el 18/2/17

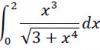
    ¿Cómo se hace esta integral?

    replythumb_up0 voto/sflag
    icon

    Antonius Benedictus
    el 18/2/17


    thumb_up1 voto/sflag
  • icon

    Laura
    el 18/2/17

    Holaa!

    Necesito saber en qué consiste el Rango de una matriz y cómo calcularlo sin la necesidad de usar determinantes. Tenéis algún vídeo relacionado con eso?

    Graciias

    replythumb_up0 voto/sflag
    icon

    Antonius Benedictus
    el 18/2/17



    thumb_up1 voto/sflag
    icon

    Laura
    el 18/2/17

    Muchísimas gracias!!

    thumb_up0 voto/sflag
  • icon

    Adnan
    el 18/2/17

    tengo que estudiar por donde crece y decrece esta función (monotonía) y no me sale



    replythumb_up0 voto/sflag
    icon

    Antonius Benedictus
    el 18/2/17


    thumb_up0 voto/sflag
  • icon

    Trollencio Ramírez
    el 18/2/17

    Hola, tengo este ejercicio corregido que vale 2,5 puntos y tengo 2 porque se puede hacer de una forma mas simplificada, pero lo que no entiendo es en que interviene este x=2. Muchas gracias!

    replythumb_up0 voto/sflag
    icon

    Antonius Benedictus
    el 18/2/17

    Tienes bien resuelta la ecuación Δ=0. Te enviamos un procedimiento algo más corto.

    thumb_up1 voto/sflag
  • icon

    Loles
    el 18/2/17
    flag

    Ejercicio de 1eso matemáticas 

    Para construir una escalera se usan ladrillos rectangulares 15x30 ¿cuantos ladrillos son necesarios para hacer una escalera de 10 escalones?


    replythumb_up0 voto/sflag
    icon

    David
    el 22/2/17

    ¿Es ese el enunciado exacto y literal? No podría responderte sin saber cual es el ancho de la escalera o lo que mide cada escalon

    thumb_up0 voto/sflag
  • icon

    Jon Aginaga
    el 18/2/17

    Buenas, ¿alguien podría darme un ejemplo de aplicación de  cos²x + sen²x =1 por favor? Quiero decir, sustituyendo un ángulo. Muchas gracias.

    replythumb_up0 voto/sflag
    icon

    Antonius Benedictus
    el 18/2/17


    thumb_up0 voto/sflag
  • icon

    leire
    el 18/2/17

    Buenas, alguien podría ayudarme con este ejercicio? Gracias!

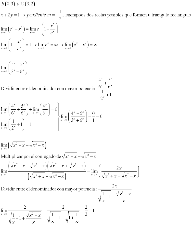
    Los vértices B(0,3) y C(3,2) son vértices de un triángulo rectángulo en B. El tercer vértice A está en la recta x+2y=1. Calcula las coordenadas de A.

    replythumb_up0 voto/sflag
    icon

    César
    el 18/2/17


    thumb_up0 voto/sflag
    icon

    Antonius Benedictus
    el 18/2/17

    Con vectores:


    thumb_up0 voto/sflag
    icon

    Antonius Benedictus
    el 18/2/17

    Revisa, César.

    thumb_up0 voto/sflag
  • icon

    Manu
    el 18/2/17

    Buenos días, podría algún unicoos corregirme estos ejercicios?


    replythumb_up0 voto/sflag
    icon

    César
    el 18/2/17


    thumb_up1 voto/sflag
    icon

    Manu
    el 18/2/17

    El desarrollo de la función cuadrática para Y = (x - 1)2 me da -1 y en la parábola. Me he perdido con el desarrollo y la función en y = (x+1)2-1 



    thumb_up0 voto/sflag
  • icon

    Víctor López
    el 18/2/17

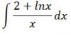
    Buenos días. ¿Podrían ayudarme con estos límites? ¡Muchas gracias!

    replythumb_up0 voto/sflag
    icon

    Alejandro Ocaña Martín
    el 18/2/17


    thumb_up0 voto/sflag
    icon

    César
    el 18/2/17


    thumb_up0 voto/sflag