Foro de preguntas y respuestas de Matemáticas

logo beUnicoos
Los foros de unicoos se han unificado en nuestra nueva plataforma beUnicoos. Para dejar nuevas preguntas deberás hacerlo allí, donde además podrás encontrar nuevas asignaturas y herramientas para ayudarte más con tus estudios.

  • icon

    Osmaynis Derken González
    el 17/2/17


    Hola ,quisiera saber como puedo resolver estos ejercicios ,me están costando un mundo.

    replythumb_up0 voto/sflag
    icon

    Antonius Benedictus
    el 17/2/17


    thumb_up1 voto/sflag
    icon

    Amin zine
    el 17/2/17

    Para el ejercicio uno K=0 también es solución.

    thumb_up2 voto/sflag
    icon

    Antonius Benedictus
    el 17/2/17

    En efecto. He supuesto que tenía que tratarse de una ecuación de 2º grado, cuando no había ninguna presunción de ello. quedaría x=25/30=5/6.

    Buena observación.

    thumb_up1 voto/sflag
  • icon

    Osmaynis Derken González
    el 17/2/17

    Hola me podrían explicar como se hace esto.


    replythumb_up0 voto/sflag
    icon

    Ángel
    el 17/2/17

    [(x6y4)/(y5x2)]-4=


    [(x6x-2)/(y5y-4)]-4=


    [(x4)/(y1)]-4=


    x-16/y-4=


    y4/x16

    thumb_up1 voto/sflag
  • icon

    Osmaynis Derken González
    el 17/2/17

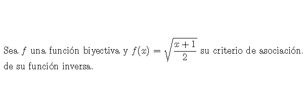
    Determine el criteriode su funcion inversa(ejercicio 1)Ejercicio(2)       Hola Me podrían explicar esto ,necesito saber como se hace ´paso a paso,para poder practicar en otras.

    replythumb_up0 voto/sflag
    icon

    Antonius Benedictus
    el 17/2/17


    thumb_up1 voto/sflag
    icon

    Antonius Benedictus
    el 17/2/17


    thumb_up1 voto/sflag
  • icon

    Antonio
    el 17/2/17

    Hola, tengo un problema de progresión aritmética de obtener el termino general an. He visto los vídeos que hay de este tema pero al aplicar la formula no me lo hace. La sucesión es la (1, 1/2 , 3 , 1/4 , 5 , 1/6 , 7 , 1/8...) y quiero calcular el termino general. 

    replythumb_up0 voto/sflag
    icon

    Antonius Benedictus
    el 17/2/17

    Esto va así, tocayo:


    thumb_up0 voto/sflag
  • icon

    Osmaynis Derken González
    el 17/2/17

    Determine el conjunto de solución del siguiente sistema de ecuaciones.

    {4x - (5x - y) = 2y + 1

    {7x - (6x - y) = 3y + 8

    Hola ,quisiera saber si me podrían explicar esto con detalles ,ojala con pasos para poner en practica,con otras operaciones

    Muchas Gracias.

    replythumb_up0 voto/sflag
  • icon

    Mili Tenor
    el 17/2/17

    como se resuelven los limites con trigonometria?

    tengo este caso: lim (x->0)    sen 4x

                                                       ------------

                                                           6x

    replythumb_up0 voto/sflag
    icon

    Antonius Benedictus
    el 17/2/17


    thumb_up0 voto/sflag
  • icon

    Osmaynis Derken González
    el 17/2/17

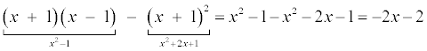
     Simplique la siguiente operacison de polinomios

    (x + 1)(x - 1) - (x + 1)2

    Me podrían explicar este ejercicio ,es que la había postiado ya una es es,creo que hubo una equivocación

    el ultimo paréntesis va elevado a la 2 no es multiplicado - (x + 1) elevado a la 2

    replythumb_up0 voto/sflag
    icon

    César
    el 17/2/17


    thumb_up1 voto/sflag
  • icon

    Amin zine
    el 17/2/17

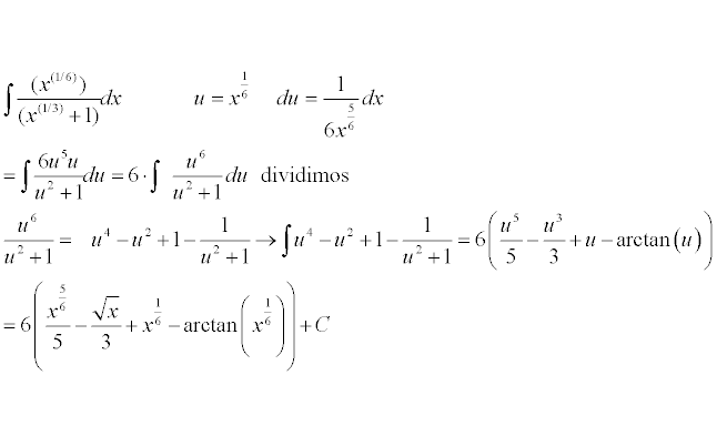
    por favor la integral de [ (x^(1/6) ) / (x^(1/3) +1) ]

    Me ha entrado en un examen, no me salió y voy a la recuperación sin saber como se hacía. 

    replythumb_up0 voto/sflag
    icon

    César
    el 17/2/17


    thumb_up1 voto/sflag
  • icon

    mery ar
    el 17/2/17

    Buenas tardes a todos!

    Como puedo acceder a ejercicios resueltos para poder practicar?

    Gracias

    replythumb_up0 voto/sflag
    icon

    David
    el 19/2/17

    Suscribiendote a los planes PRO (en el banner superior, planes)

    thumb_up0 voto/sflag
  • icon

    Amin zine
    el 17/2/17

    Alguien me puede hacer este limite, que no me sale, estré eternamente agradecido. lim x->0 [ ( x^2*sin(1/x)*log(x+1) ) / ( cox(x) -1 ) ]

    replythumb_up0 voto/sflag
    icon

    César
    el 17/2/17

    http://es.symbolab.com/solver/limit-calculator/%5Clim_%7Bx%5Cto0%7D%5Cleft(%5Cfrac%7Bx%5E%7B2%7Dsin%5Cleft(%5Cfrac%7B1%7D%7Bx%7D%5Cright)ln%5Cleft(x%2B1%5Cright)%7D%7Bcos%5Cleft(x%5Cright)%7D%5Cright)

    thumb_up0 voto/sflag
    icon

    Amin zine
    el 17/2/17

    Sin pasos : la solución paso por paso no esta disponible para este problema.

    Intenté hacerlo por l'hopital y se me hace interminable y el profesor en su momento me dijo no lo hagas por l'hopital, no se por donde cogerlo.

    thumb_up0 voto/sflag