Foro de preguntas y respuestas de Matemáticas

logo beUnicoos
Los foros de unicoos se han unificado en nuestra nueva plataforma beUnicoos. Para dejar nuevas preguntas deberás hacerlo allí, donde además podrás encontrar nuevas asignaturas y herramientas para ayudarte más con tus estudios.

  • icon

    Facu Imfeld
    el 16/2/17

    Hola quisiera saber si esta integral se puede resolver por el método de sustitución, gracias de antemano

    ∫cos(ln(x))dx

    He llamado como u al ln(x), y después probé llamar u a la función completa, es decir, cos(ln(x)), pero no estoy seguro

    replythumb_up0 voto/sflag
    icon

    Fran Foce
    el 16/2/17



    Perdon por lo desprolijo, crei que iba a ocupar menos espacio jaja, si se hace sustitucion lnx, y despues dos veces por partes y se resuelve como toda integral ciclica. Si algo no se entiende comentalo que paso el ejercicio

    thumb_up0 voto/sflag
  • icon

    Nacho
    el 16/2/17

    me ayudaan 😟 Ejercicio   E 

    replythumb_up0 voto/sflag
    icon

    Antonius Benedictus
    el 16/2/17


    thumb_up0 voto/sflag
  • icon

    Francisco
    el 16/2/17

    Como se halla el dominio de definicion en esta funcion: y= 1-5√2x+2


    replythumb_up0 voto/sflag
    icon

    Antonius Benedictus
    el 16/2/17

    Foto del enunciado original,

    thumb_up0 voto/sflag
  • icon

    Francisco
    el 15/2/17

    El dominio de esta funcion: y= √-x serian todos los numeros menores o iguales que 0?


    replythumb_up1 voto/sflag
    icon

    Alex Perez Sanchez
    el 16/2/17

    Sí, correcto. Desde el menos infinito hasta el 0, éste incluido.


    thumb_up0 voto/sflag
    icon

    Ángel
    el 17/2/17

    Correcto. Las raíces negativas no existen en R


    Una pequeña observación...si tomamos como punto de referencia el conjunto imaginario (I), podrían ser mayores que 0

    thumb_up0 voto/sflag
  • icon

    Francisco
    el 15/2/17

    Cual es el dominio de definicion de y= 2x-1/ x2+1

    replythumb_up0 voto/sflag
    icon

    Antonius Benedictus
    el 15/2/17

    Toda la recta real, pues el denominador nunca se anula.

    thumb_up0 voto/sflag
  • icon

    María
    el 15/2/17
    flag

    Una circunferencia tiene su centro en (4, 5). Determina la ecuación pendiente- intersección al origen de la recta que es perpendicular a la recta 2x-7y = 3 y que intersecta al eje x en 4.

    replythumb_up0 voto/sflag
    icon

    Antonius Benedictus
    el 15/2/17

    Enunciado original, por favor.

    thumb_up0 voto/sflag
    icon

    María
    el 16/2/17

    Es ese el enunciado original.

    thumb_up0 voto/sflag
    icon

    Antonius Benedictus
    el 16/2/17

    ¿Estás segura? ¿Qué tiene que ver la circunferencia?

    thumb_up0 voto/sflag
    icon

    María
    el 16/2/17

    Sí. Así me lo dio mi profesor.

    thumb_up0 voto/sflag
  • icon

    María
    el 15/2/17

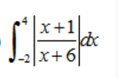
    Ayuda con este ejercicio:


    replythumb_up0 voto/sflag
    icon

    Antonius Benedictus
    el 15/2/17


    thumb_up0 voto/sflag
    icon

    María
    el 16/2/17

    Muchas gracias Antonio.

    thumb_up0 voto/sflag
  • icon

    Ronal Modesto
    el 15/2/17

    amigos ayuden 

    replythumb_up0 voto/sflag
    icon

    Antonius Benedictus
    el 15/2/17


    thumb_up0 voto/sflag
  • icon

    Ronal Modesto
    el 15/2/17

    ayuden amigos No hay texto alternativo automático disponible.

    replythumb_up0 voto/sflag
    icon

    Antonius Benedictus
    el 15/2/17


    thumb_up0 voto/sflag