COMO SE HACE ESTA INTEGRAL? ∫x.e∧-x.dx

Puedes plantear el método de integración por partes ( ∫ udv = uv - ∫ vdu ), para ello planteamos:
u = x, de donde tenemos: du = dx,
dv = e-xdx, de donde tenemos. v = - e-x.
Luego pasamos a la integral:
∫ xe-xdx = aplicamos el método = x(- e-x) - ∫ (- e-x)dx = resolvemos signos = - xe-x + ∫ e-xdx = resolvemos = - xe-x - e-x + C.
Espero haberte ayudado.
Como es la integral de ln∧2 *Xdx= Abajo pongo hasta donde llegue pero no se como se termina de hacer ...

Por favor revisa el enunciado:
O es
a)∫ ln2(x)*dx,
o es
b) ∫ ln2(x)*x*dx,
y en ambos casos puedes plantear el método de integración por partes, y eliges como primera función: u = ln2(x).
Observa en tu enunciado que el factor " ln2 " no tiene argumento, por lo que no tiene sentido.
Espero haberte ayudado.

Recuerda que la utilidad (U) es la diferencia entre el ingreso (I, recaudación por ventas) y el costo (C) de producción.
Luego planteamos (observa en el enunciado que tenemos la expresión del ingreso mensual por la venta de q unidades, y el costo correspondiente a una unidad):
U(q) = I(q) - C(q), sustituimos las expresiones del enunciado y queda:
U(q) = (2460 - 0,2*q2)*q - (2,4*q - 1200), distribuimos en los agrupamientos y queda:
U(q) = 2460*q - 0,2*q3 - 2,4*q + 1200, reducimos términos semejantes, ordenamos términos y queda:
U(q) = - 0,2*q3 + 2457,6*q + 1200, luego planteamos la expresión de la derivad primera:
U ' (q) = - 0,6*q2 + 2457,6, luego planteamos la condición de punto crítico (posible maximo o posible mínimo):
U ' (q) = 0, sustituimos y queda:
- 0,6*q2 + 2457,6 = 0, hacemos pasaje de término y queda:
- 0,6*q2 = - 2457,6, hacemos pasaje de factor como divisor y queda:
q2 = 4096, hacemos pasaje de potencia como raíz y queda (observa que q debe tomar valores positivos):
q =64.
Podemos verificar que se trata de un máximo, y para ello evaluamos la Utilidad para los valores de q: 63, 64 y 65:
U(63) = 106019,4
U(64) = 106057,6
U(65) = 106019.
Espero haberte ayudado.
Hola,
Estaba estudiando para un examen y no me acuerdo cómo pasé de un paso a otro y no consigo encontrar el procedimiento que utilicé
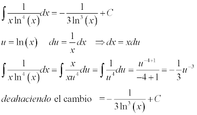
Es del tema de límites aplicando l'Hôpital. En la imagen dejo el paso con un círculo. Básicamente no entiendo cómo pasa la "x" multiplicando en el numerador y antes del ln a estar dividiendo con la forma 1/x.
Gracias!
Hola gente, como estan? Bueno, recien me respondieron en youtube que en caso de duda, debo escribirlo aca; por lo que ahí les va. mi caso de estadisticas (no es "como casi siempre") ya que no me dan todos los valores ni ordenados ni desordenados. Directamente mis ejercicios tiene ya los datos agrupados ( ejercicio mostrado en la foto) y me pide que calcule fi por mi cuenta pero no encuentro ningun video en donde muestre como se llega a calcular ese tipo de intervalo, y creo que no todas mis frecuencias pueden ser 5 (como se piensa en el ejercicio)
Hola leyendo un poco encontre este problema
Y haciendo un dibujo
Me sale que el muro vale 300 metros
El primer dia hizo 75 metros
El segundo hizo 150m
El tercer dia hizo 50m
Y quisiera saber si son esas las respuestas correctas por favor y gracias

Hacemos una tabla, con la longitud del muro construida en el día indicado (indicamos con x a la longitud total del muro, expresada en metros):
Día Construido en ese día Falta construir
1° (1/4)x x - (1/4)x = (3/4)x
2° (2/3)(3/4)x = (1/2)x (3/4)x - (1/2)x = (1/4)x
3° 50 (1/4)x - 50 = 0
Luego, tenemos la ecuación remarcada, en la que hacemos pasaje de término y queda:
(1/4)x = 50, multiplicamos por 4 en ambos miembros de la ecuación y queda:
x = 200 (en m).
Luego, la tabla de valores queda:
Día Construido en ese día Falta construir
1° (1/4)*200 = 50 200 - (1/4)*200 = 150
2° (2/3)*150 = 100 150 - 100 = 50
3° 50 50 - 50 = 0
Espero haberte ayudado.
Hola, tengo una duda sobre esta equación paramétrica y es que en el segundo apartado, en el de calcula los tres puntos por los que pasa la recta me falta el valor independiente de y, y no sé si poner cero o 1, y me estoy liando bastante, si me pueden ayudar os lo agradeceria mucho.
Gracias de antemano,
Laura

Tienes las ecuaciones cartesianas paramétricas de la recta:
x = - 2 + 3t
y = 0 + 2t
con t ∈ R;
de las que tenemos como información:
el punto de coordenadas: A(-2,0) pertenece a la recta, y el vector director cuyas componentes son u = <3,2>.
Luego, la ecuación vectorial paramétrica queda: <x,y> = <-2,0> + t*<3,2>, con t ∈ R.
Luego, despejamos t en las ecuaciones cartesianas paramétricas y quedan:
(x + 2)/3 = y/2, que es la ecuación cartesiana continua (o simétrica),
hacemos pasaje de divisor como factor, ordenamos factores y queda:
(2/3)(x + 2) + 0 = y, que es la ecuación cartesiana punto-pendiente: con pendiente: m = 2/3, y punto B(-2,0),
luego distribuimos, cancelamos el término nulo y queda:
(2/3)x + 4/3 = y, que es la ecuación cartesiana explícita de la recta, en la que tenemos la ordenada al origen: b = 4/3, por lo que tenemos un tercer punto de la recta: C(0,4/3);
luego, multiplicamos por 3 en todos los términos de la ecuación y queda:
2x + 4 = 3y, hacemos pasaje de término y queda:
2x - 3y + 4 = 0, que es la ecuación cartesiana implícita de la recta.
Espero haberte ayudado.