https://es.symbolab.com/solver/derivative-calculator/f(x)%3D%5Cfrac%7B4%7D%7B%5Csqrt%5B3%5D%7Bx-1%7D%7D/?or=dym en este link podrás verificar si las haces bien o ver los pasos si no sabes hacerlas.

Si el ejercicio consiste en racionalizar denominadores, observa que estos son unimembres, por lo que debemos multiplicar al numerador y al denominador por la raíz "complementaria" del denominador.
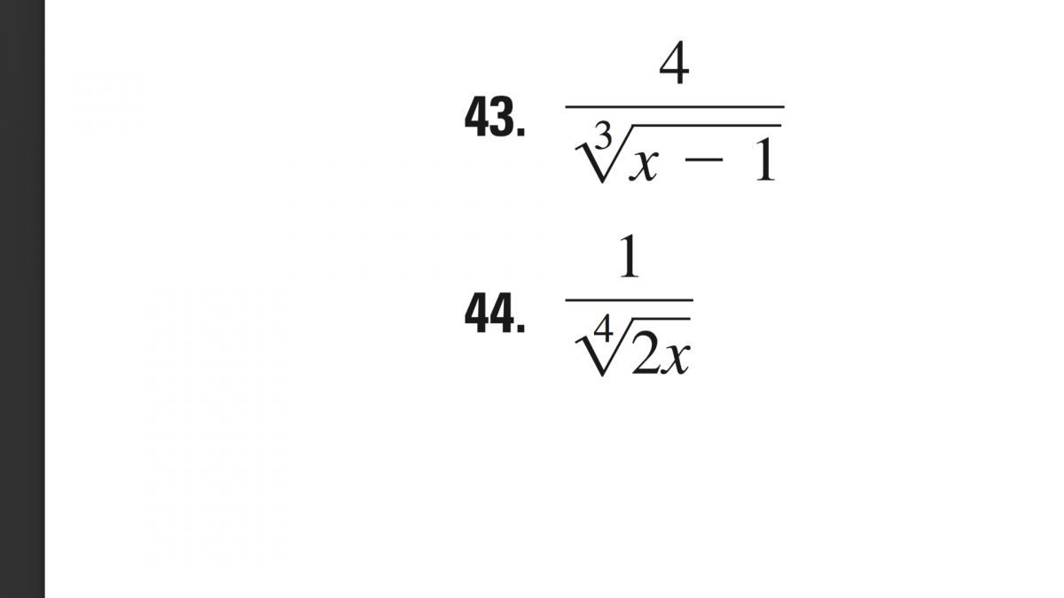
43)
Tenemos:
1/∛(x - 1) = 1*∛((x - 1)2) / ∛(x - 1)*∛((x - 1)2) = resolvemos el numerador y asociamos raíces en el denominador:
= ∛((x - 1)2) / ∛((x - 1)3) = simplificamos índice y exponente en el denominador = ∛((x - 1)2) / (x - 1).
44)
Tenemos:
1 / 4√(2x) = 1*4√((2x)3) / 4√(2x)*4√((2x)3) = distribuimos en el argumento de la raíz en el numerador y asociamos raíces en el denominador:
= 4√(23*x3) / 4√((2x)4) = simplificamos índice y exponente en el denominador = 4√(23*x3) / 2*x.
Espero haberte ayudado.

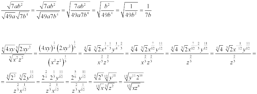
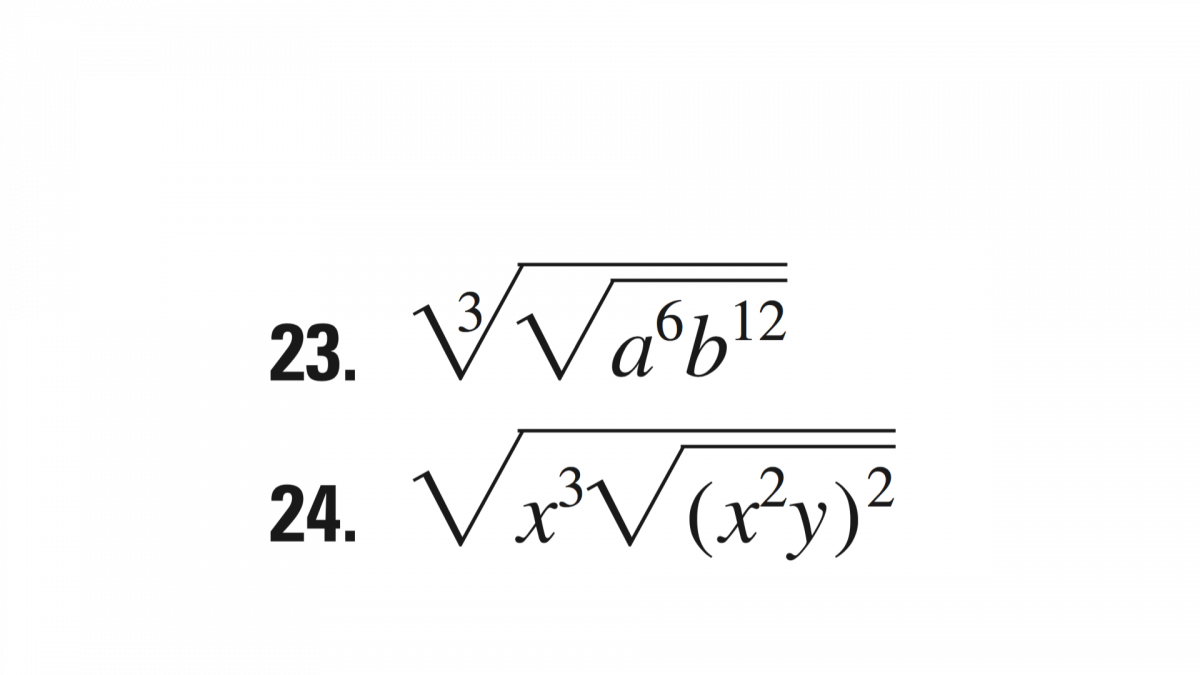
23)
Aplicas la propiedad de la raíz cuyo argumento es otra raíz (recuerda que multiplicamos los índices) y queda:
6√(a6*b12) = distribuimos la raíz entre los factores = 6√(a6)* 6√(b12) = simplificamos índices y exponentes en los factores = a*b2.
24)
Observa que la raíz cuadrada "más pequeña" tiene que su argumento es un cuadrado, por lo que simplificamos índice y exponente y queda:
√(x3*x2*y) = reducimos factores con bases iguales = √(x5*y) = descomponemos el primer factor =
= √(x4*x*y) = distribuimos la raíz en dos factores = √(x4)*√(x*y) = simplificamos índice y exponente en el primer factor = x2*√(x*y).
Espero haberte ayudado.
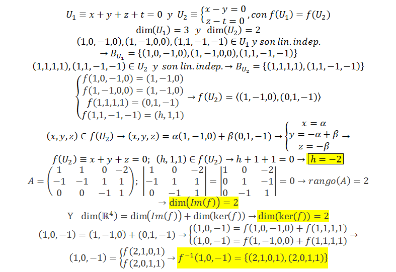
Hola buenas. En este ejercicio, se hacer todo pero para ello necesito sacar la matriz de la aplicación lineal y es lo que no me sale. Podría explicarme alguien como sacarla??
Muchas gracias
Sean lR3 y lR4 referidas a sus bases canónicas y los subespacios de lR4:
U1={x1+x2+x3+x4=0} U2={x1-x2=0; x3-x4=0}
Se considera la aplicación lineal f: lR4à lR3 que cumple:
- f(U1)=f(U2)
- f(1,0,-1,0)=(1,-1,0)
- f(1,-1,0,0)=(1,-1,0)
- f(1,1,1,1)=(0,1,-1)
- f(1,1,-1,-1)=(h,1,1)
1) Halla razonadamente las dimensiones del Ker f y la de Im f y el valor del parámetro h que hace posible las condiciones del enunciado
2) Expresar la matriz asociada a f respecto de las bases canónicas
3) Calcular
f-1(1,0,-1)Hola buenas. Estoy intentando hacer este ejercicio y no me sale, no se hacerlo. Podría ayudarme alguien??
Muchas gracias
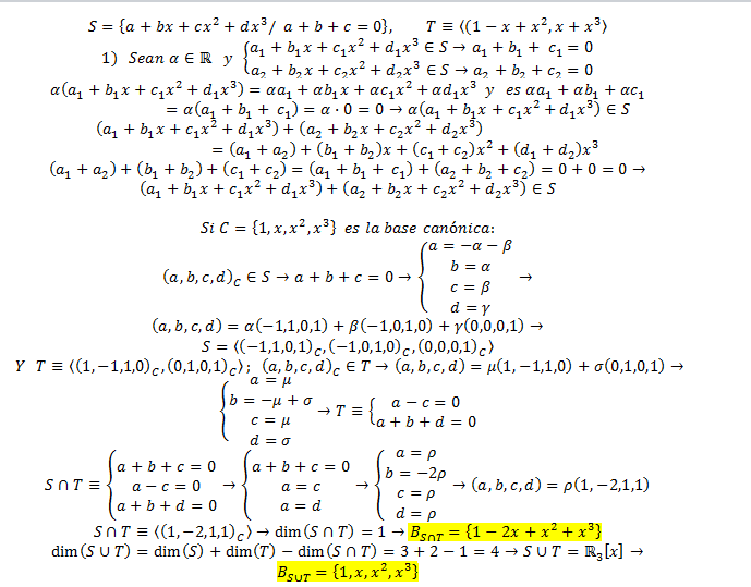
En lR3(x), polinomios de grado menor o igual que 3 con coeficientes en lR, se consideran los subconjuntos:
S={a+bx+cx2+dx3/ a-c=0; a+b+c=0}
T={1-x+x2, x+x3}
1) Demuestra que S es un subespacio vectorial de lR3(x)
2) Halla una base de (S+T) y otra de (S intersección T)
3) ¿Para que valores de a B”={1+ax2, x, 1+x2-x3, x-x3} es una base de lR3(x)?
4) Para a=0, halla la matriz de paso de B” a Bc y la de Bc a B”
Hola. Me han puesto un ejercicio y no se como hacerlo. Me lo podría explicar alguien??
Muchas gracias
En lR4 se consideran los subespacios L1=[(1,-1,0,2), (0,2,1,-1), (2,0,1,α)]
y L2:
-: x1-x2-x3-x4=0
-:2x1 -3x3-x4=0
-: 2x2-5x3+αx4=0
1) Calcula una base y la dimensión de L1 según los valores de α
2) Escribe las ecuaciones implícitas o cartesianas de L1 según los valores de α
3) Halla una base y la dimensión de L1+ L2 según los valores de α
4) Calcula L1 intersección con L2 según los valores de α
hola buenas! Estoy haciendo un ejercicio de sistema de sustitucion y nose como realizarlo, si me pueden ayudar. Es el siguiente:
5x+y=-22
3x-7y=2
Hola! Tengo dudas sobre un ejercicio de sistemas de ecuaciones que no sé como calcular, dice que pide calcular la previsión de gasto del año 2012 pero no sé como hacerlo si solo tengo el de 2011.
Les dejo el ejercicio:
1. La previsión de gastos de electricidad y agua se realizan en función
del nivel de ocupación obtenido en el último semestre de año 2011. Así, para el
cálculo del consumo de agua conocemos los valores de a (costes fijos) = 600 y b
= 0,5. Para simplificar se estima que tiene el mismo consumo de electricidad y
agua tanto la HD como la HI. Para el cálculo del consumo de electricidad
tenemos que obtener esas variables, para ello disponemos de los siguientes datos:
a)
La previsión de gasto de
agua para el mes de junio del 2012 si se espera una ocupación del 90% para la
habitación doble y del 80% para la habitación individual Special.
b)
La previsión de gasto de
electricidad para el mes de junio del 2012 si se espera una ocupación del 90%
para la habitación doble y del 80% para la habitación individual Special.
DISPONE DE 200 HABITACIONES DOBLE Y 20 INDIVIDUALES